Официальное опубликование правовых актов
ОФИЦИАЛЬНОЕ ОПУБЛИКОВАНИЕ
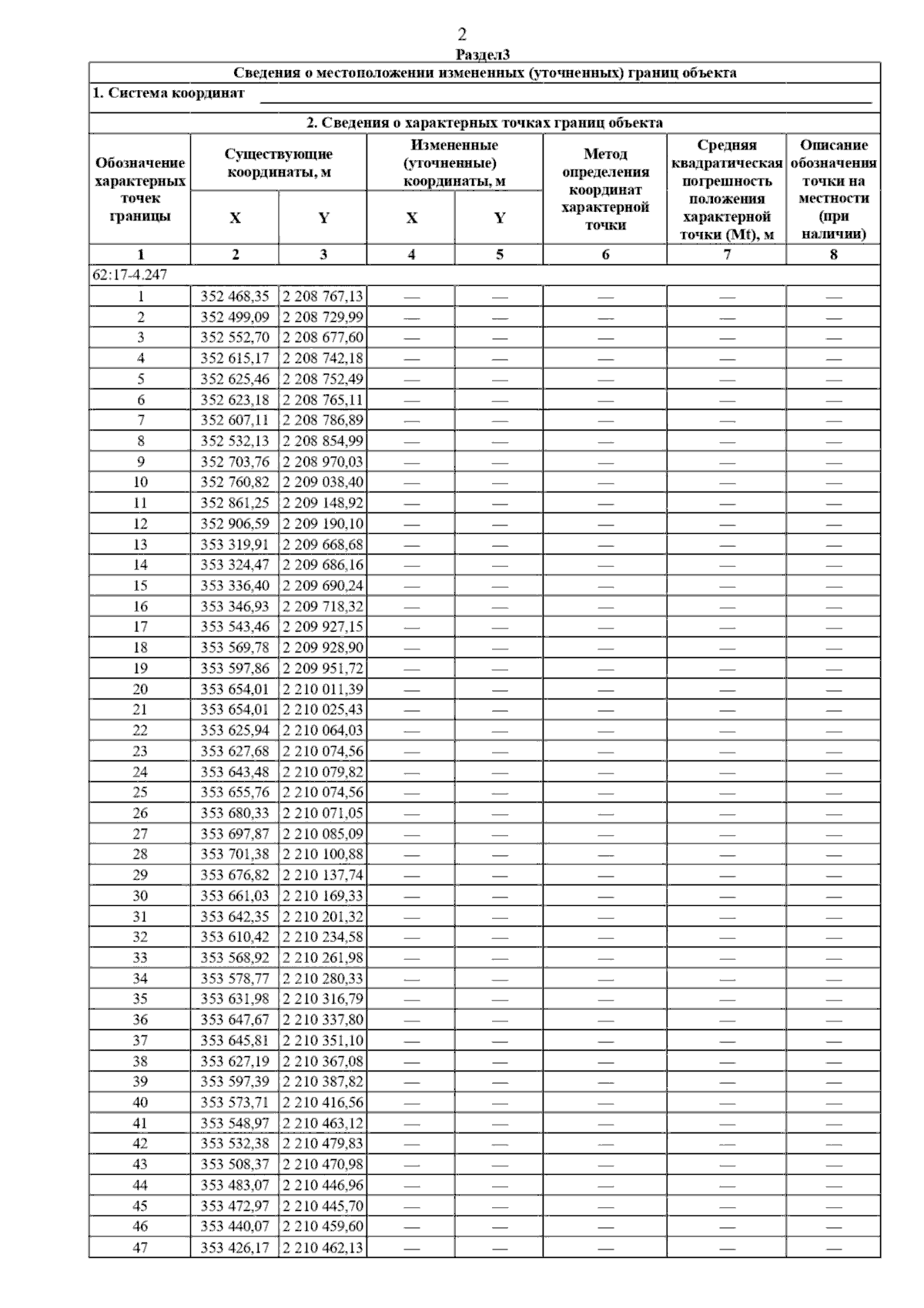
Постановление Главного управления архитектуры и градостроительства Рязанской области от 16.12.2025 № 1155-п
"О внесении изменения в генеральный план муниципального образования – Желобовское сельское поселение Сараевского муниципального района Рязанской области"
(Зарегистрирован 18.12.2025 № 1805)
Номер опубликования: 6201202512220009
Дата опубликования: 22.12.2025
Страница №4 из 9:
Увеличить