Официальное опубликование правовых актов
ОФИЦИАЛЬНОЕ ОПУБЛИКОВАНИЕ
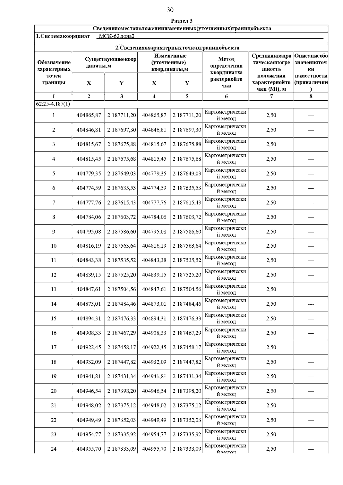
Постановление Главного управления архитектуры и градостроительства Рязанской области от 16.12.2025 № 1131-п
"О внесении изменений в генеральный план муниципального образования – Мосоловское сельское поселение Шиловского муниципального района Рязанской области"
(Зарегистрирован 18.12.2025 № 1778)
Номер опубликования: 6201202512190025
Дата опубликования: 19.12.2025
Страница №32 из 48:
Увеличить