Официальное опубликование правовых актов
ОФИЦИАЛЬНОЕ ОПУБЛИКОВАНИЕ
Постановление Главного управления "Региональная энергетическая комиссия" Рязанской области от 11.12.2025 № 169
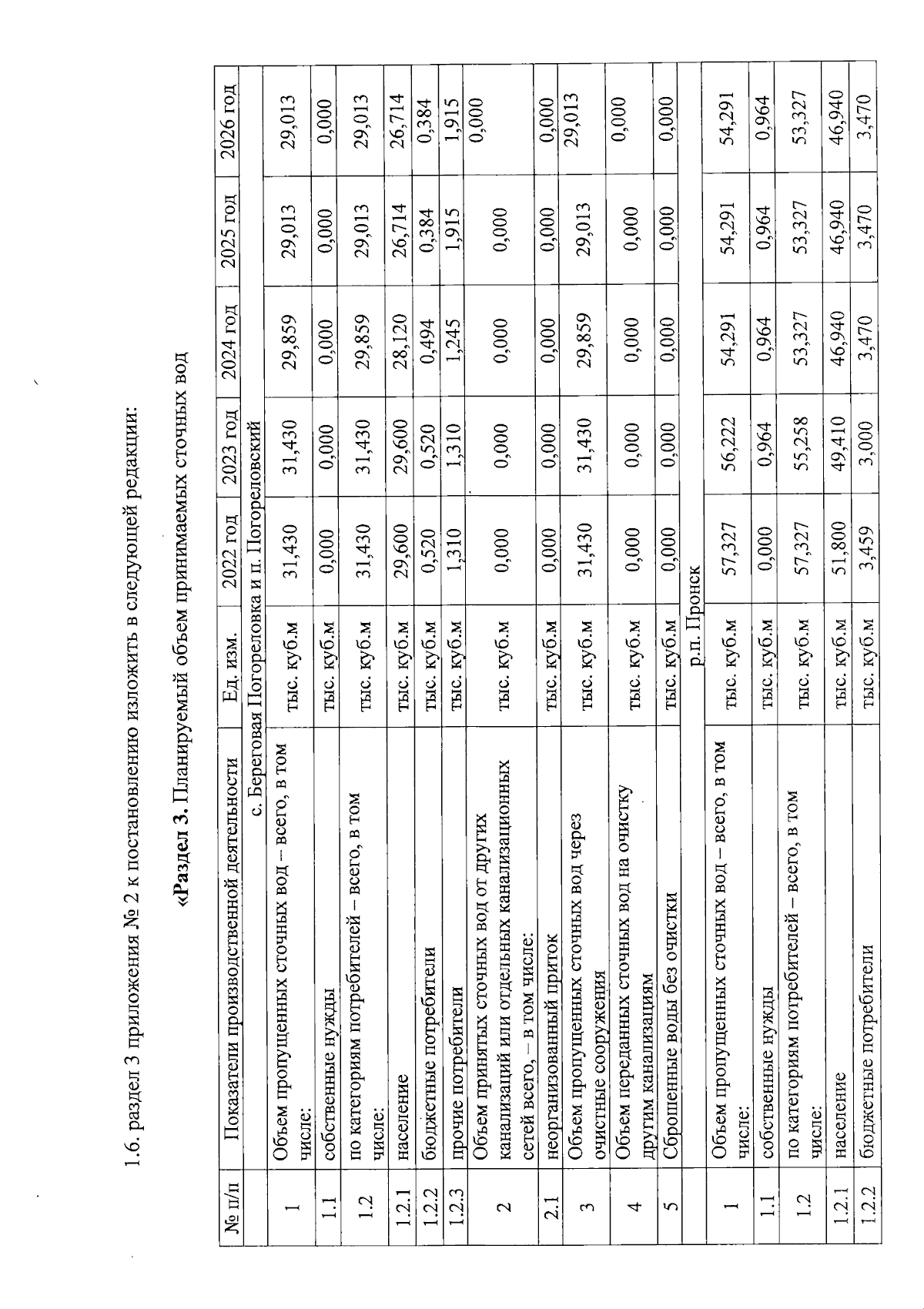
"О внесении изменений в постановление ГУ РЭК Рязанской области от 16 декабря 2021 г. № 256 "Об установлении тарифов на питьевую воду в сфере холодного водоснабжения, водоотведение для потребителей МКП "Пронские тепловые сети" в Малинищинском, Мамоновском, Погореловском, Октябрьском, Орловском, Тырновском сельских и Пронском городском поселениях Пронского муниципального района"
(Зарегистрирован 15.12.2025 № 1669)
Номер опубликования: 6201202512190002
Дата опубликования: 19.12.2025
Страница №4 из 7:
Увеличить