Официальное опубликование правовых актов
ОФИЦИАЛЬНОЕ ОПУБЛИКОВАНИЕ
Постановление Главного управления архитектуры и градостроительства Рязанской области от 08.12.2025 № 1080-п
"О внесении изменения в генеральный план муниципального образования – Касимовский муниципальный округ Рязанской области применительно к территории Первинского сельского округа Касимовского района Рязанской области"
(Зарегистрирован 10.12.2025 № 1613)
Номер опубликования: 6201202512150010
Дата опубликования: 15.12.2025
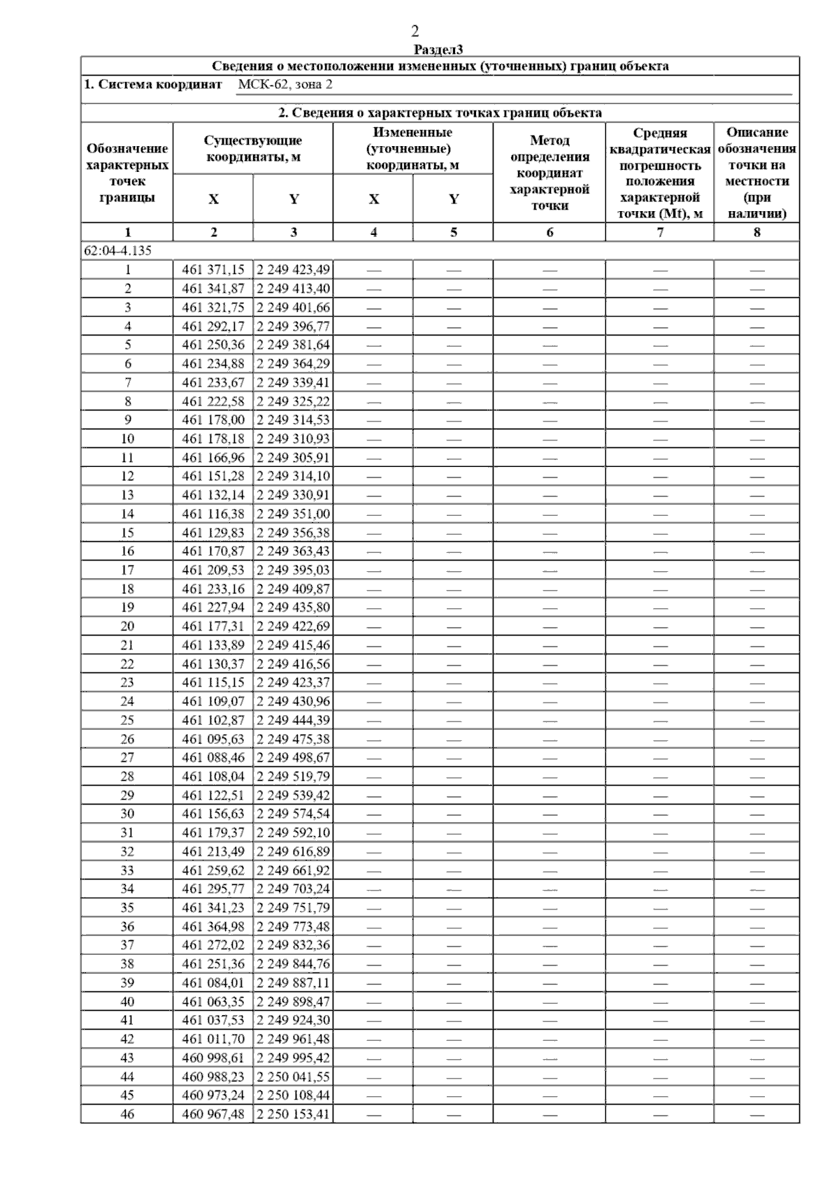
Страница №4 из 14:
Увеличить