Официальное опубликование правовых актов
ОФИЦИАЛЬНОЕ ОПУБЛИКОВАНИЕ
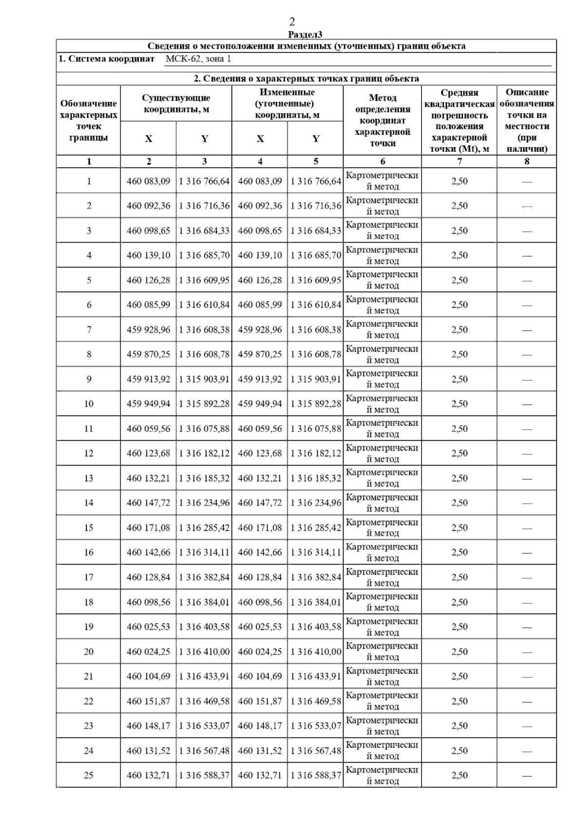
Постановление Главного управления архитектуры и градостроительства Рязанской области от 08.12.2025 № 1078-п
"О внесении изменения в генеральный план муниципального образования – Истобниковское сельское поселение Рыбновского муниципального района Рязанской области"
(Зарегистрирован 10.12.2025 № 1611)
Номер опубликования: 6201202512150008
Дата опубликования: 15.12.2025
Страница №4 из 8:
Увеличить