Официальное опубликование правовых актов
ОФИЦИАЛЬНОЕ ОПУБЛИКОВАНИЕ
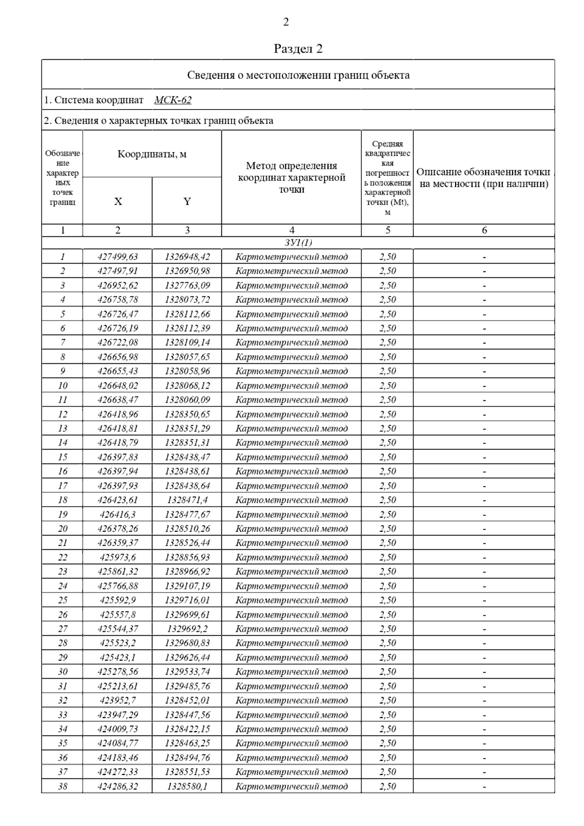
Постановление Главного управления архитектуры и градостроительства Рязанской области от 08.12.2025 № 1073-п
"О внесении изменений в правила землепользования и застройки муниципального образования – Окское сельское поселение Рязанского муниципального района Рязанской области"
(Зарегистрирован 10.12.2025 № 1606)
Номер опубликования: 6201202512150004
Дата опубликования: 15.12.2025
Страница №4 из 231:
Увеличить