Официальное опубликование правовых актов
ОФИЦИАЛЬНОЕ ОПУБЛИКОВАНИЕ
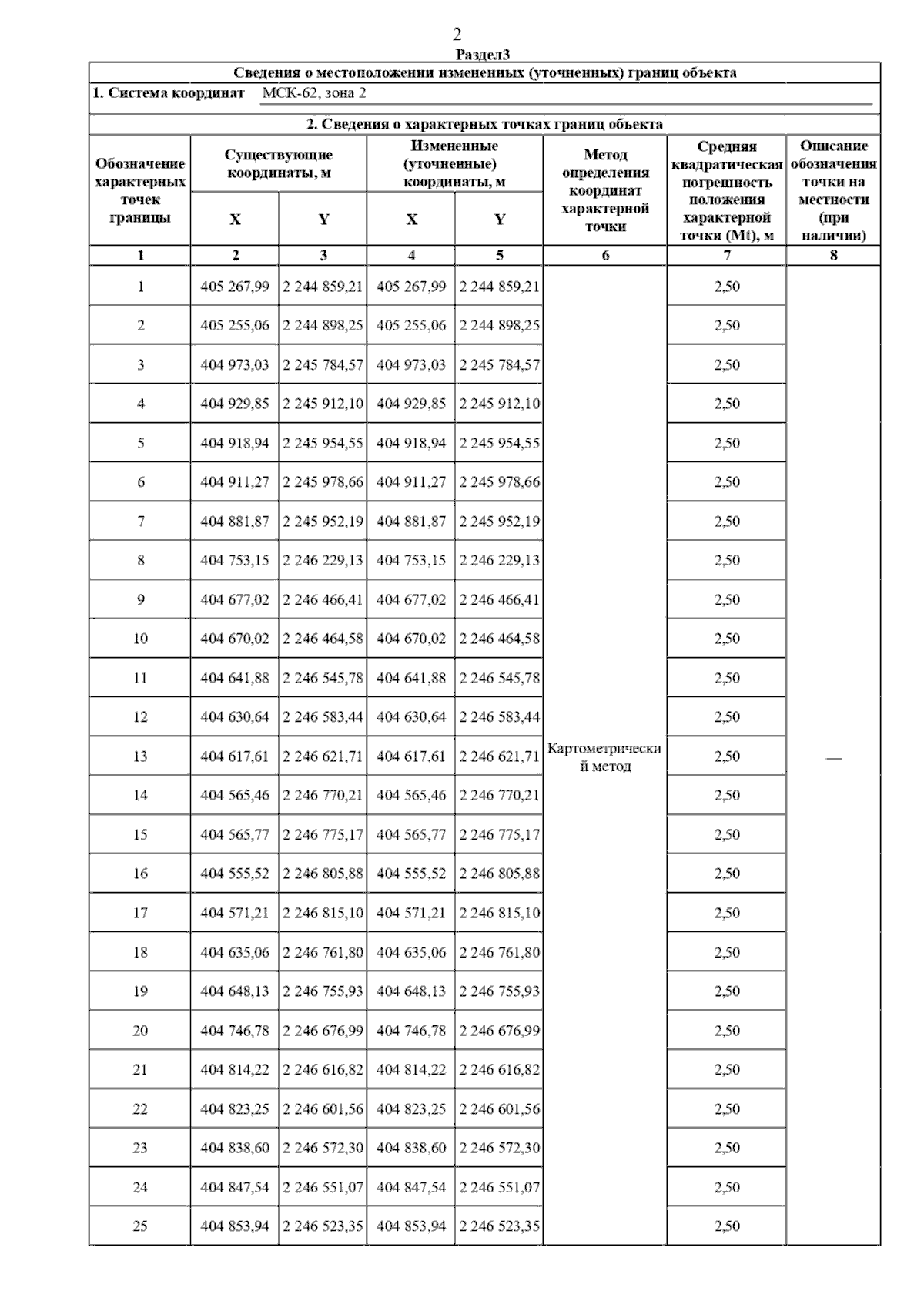
Постановление Главного управления архитектуры и градостроительства Рязанской области от 08.12.2025 № 1072-п
"О внесении изменения в правила землепользования и застройки муниципального образования – Чучковское городское поселение Чучковского муниципального района Рязанской области"
(Зарегистрирован 10.12.2025 № 1605)
Номер опубликования: 6201202512150002
Дата опубликования: 15.12.2025
Страница №4 из 15:
Увеличить