Официальное опубликование правовых актов
ОФИЦИАЛЬНОЕ ОПУБЛИКОВАНИЕ
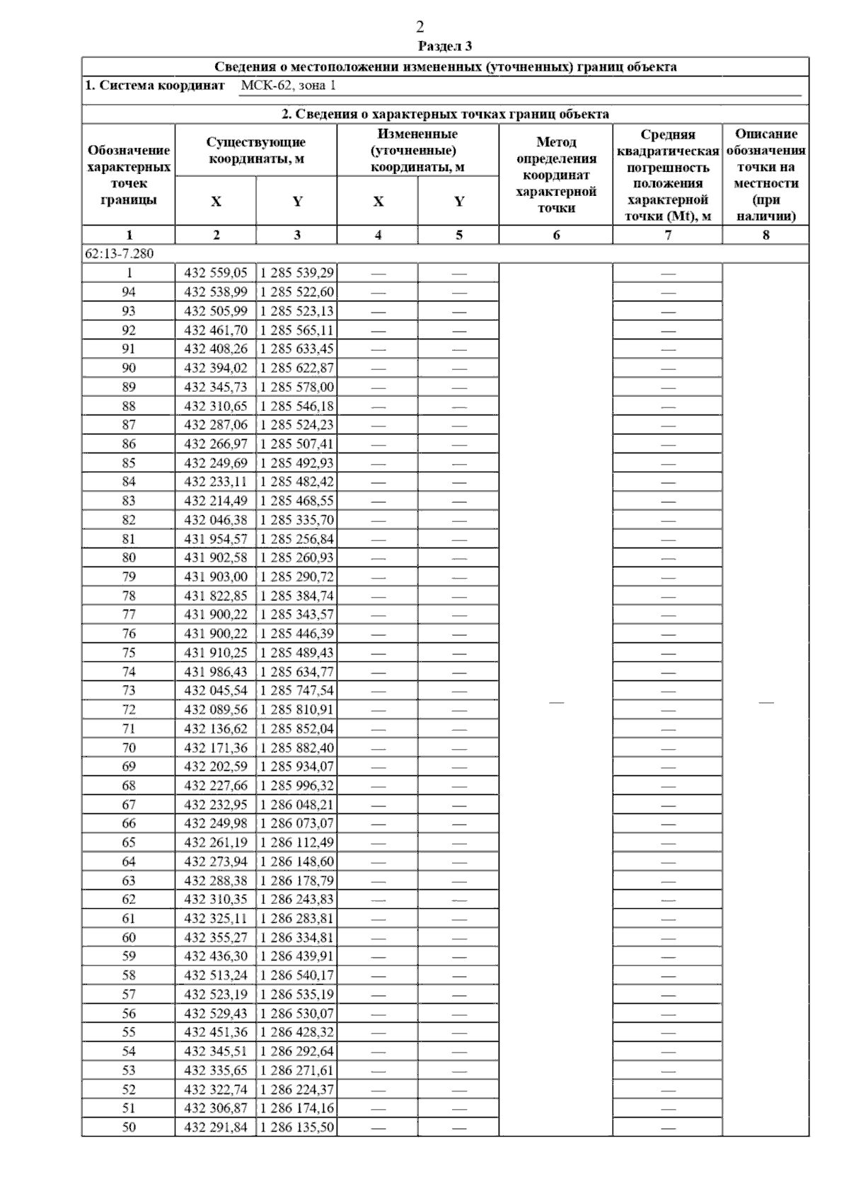
Постановление Главного управления архитектуры и градостроительства Рязанской области от 25.11.2025 № 1022-п
"О внесении изменения в правила землепользования и застройки муниципального образования - Пионерское сельское поселение Рыбновского муниципального района Рязанской области"
(Зарегистрирован 27.11.2025 № 1464)
Номер опубликования: 6201202512020002
Дата опубликования: 02.12.2025
Страница №4 из 12:
Увеличить