Официальное опубликование правовых актов
ОФИЦИАЛЬНОЕ ОПУБЛИКОВАНИЕ
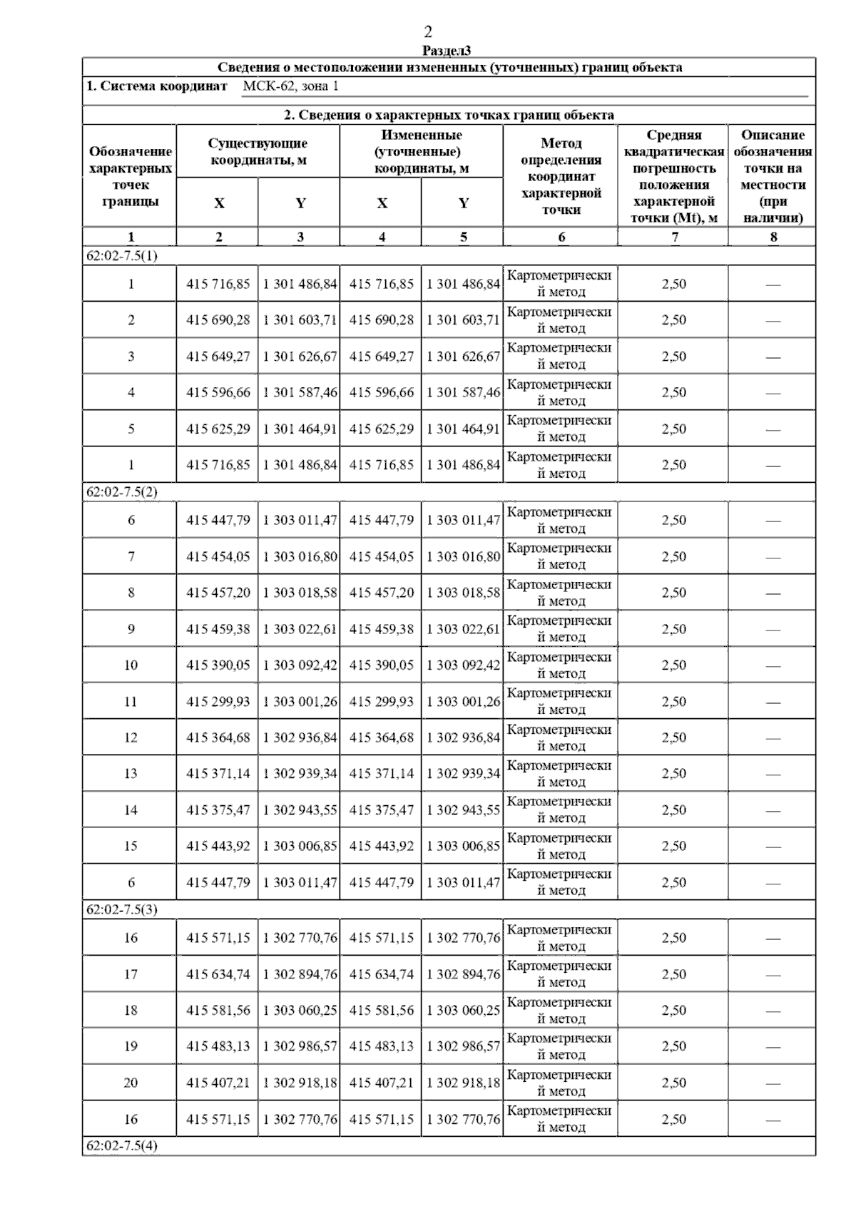
Постановление Главного управления архитектуры и градостроительства Рязанской области от 08.10.2025 № 875-п
"О внесении изменений в правила землепользования и застройки муниципального образования – Захаровское сельское поселение Захаровского муниципального района Рязанской области"
(Зарегистрирован 09.10.2025 № 1247)
Номер опубликования: 6201202510100008
Дата опубликования: 10.10.2025
Страница №56 из 65:
Увеличить