Официальное опубликование правовых актов
ОФИЦИАЛЬНОЕ ОПУБЛИКОВАНИЕ
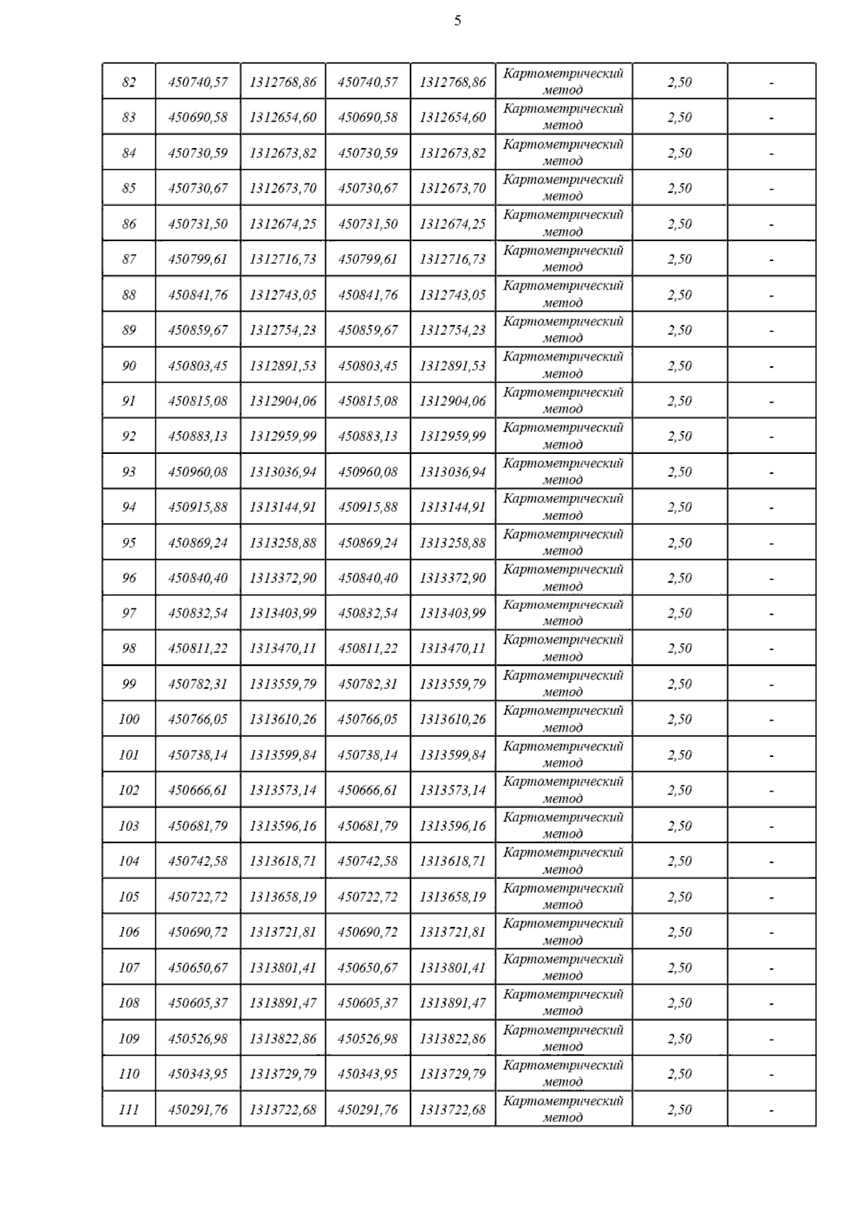
Постановление Главного управления архитектуры и градостроительства Рязанской области от 06.10.2025 № 873-п
"О внесении изменений в генеральный план муниципального образования – Баграмовское сельское поселение Рыбновского муниципального района Рязанской области"
(Зарегистрирован 06.10.2025 № 1241)
Номер опубликования: 6201202510070014
Дата опубликования: 07.10.2025
Страница №10 из 13:
Увеличить