Официальное опубликование правовых актов
ОФИЦИАЛЬНОЕ ОПУБЛИКОВАНИЕ
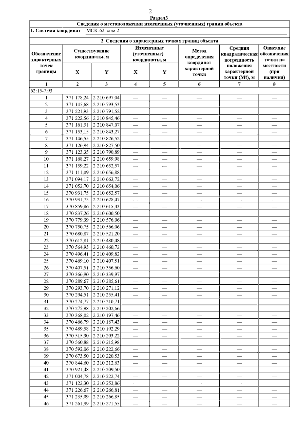
Постановление Главного управления архитектуры и градостроительства Рязанской области от 02.10.2025 № 870-п
"О внесении изменения в правила землепользования и застройки муниципального образования – Березниковское сельское поселение Сапожковского муниципального района Рязанской области"
(Зарегистрирован 03.10.2025 № 1238)
Номер опубликования: 6201202510070013
Дата опубликования: 07.10.2025
Страница №4 из 18:
Увеличить