Официальное опубликование правовых актов
ОФИЦИАЛЬНОЕ ОПУБЛИКОВАНИЕ
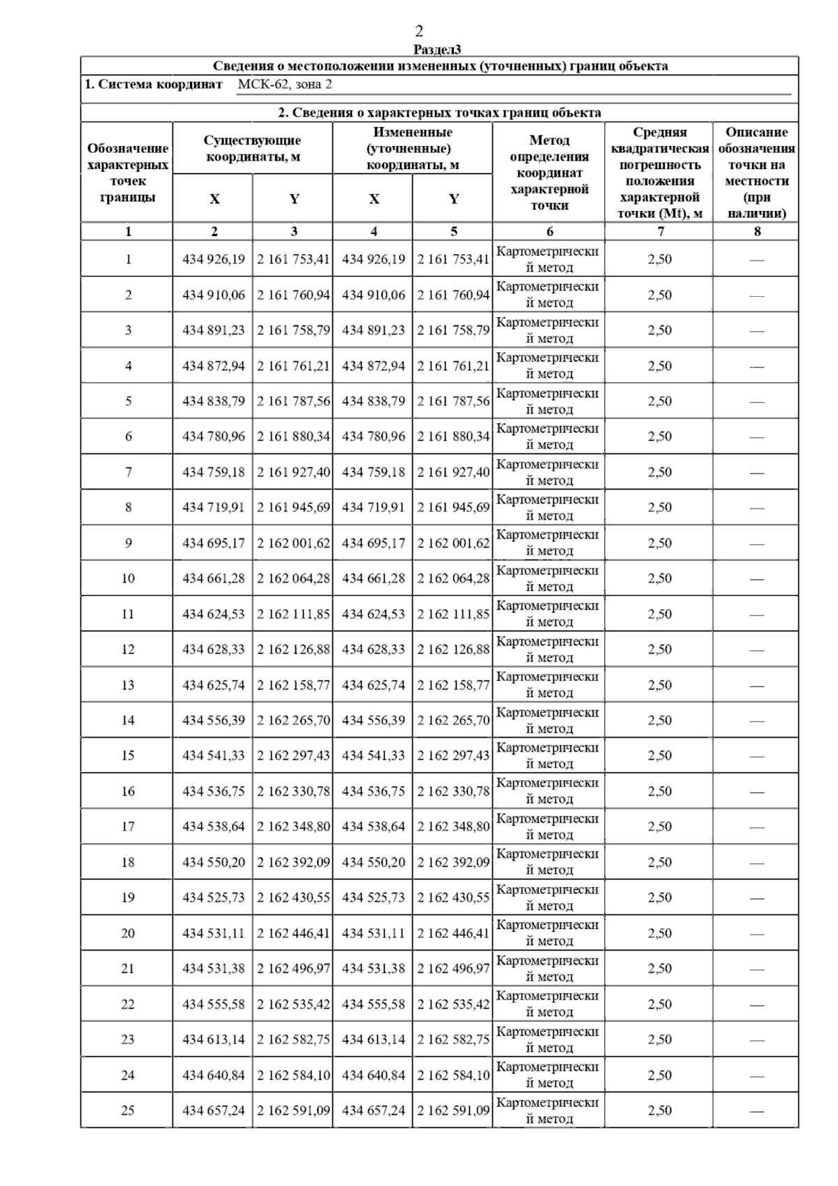
Постановление Главного управления архитектуры и градостроительства Рязанской области от 01.10.2025 № 859-п
"О внесении изменения в генеральный план муниципального образования – Панинское сельское поселение Спасского муниципального района Рязанской области"
(Зарегистрирован 02.10.2025 № 1226)
Номер опубликования: 6201202510060008
Дата опубликования: 06.10.2025
Страница №4 из 9:
Увеличить