Официальное опубликование правовых актов
ОФИЦИАЛЬНОЕ ОПУБЛИКОВАНИЕ
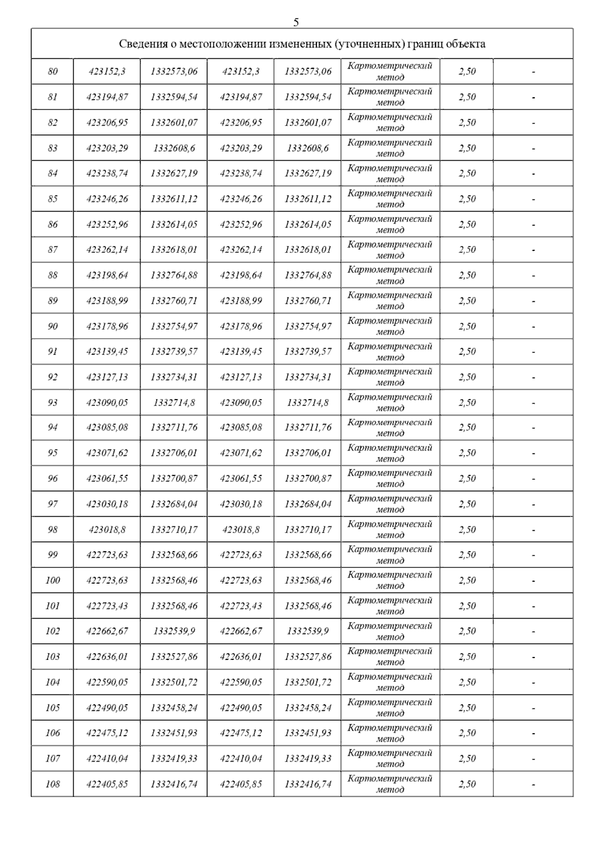
Постановление Главного управления архитектуры и градостроительства Рязанской области от 30.09.2025 № 851-п
"О внесении изменения в генеральный план муниципального образования – Окское сельское поселение Рязанского муниципального района Рязанской области"
(Зарегистрирован 01.10.2025 № 1216)
Номер опубликования: 6201202510030014
Дата опубликования: 03.10.2025
Страница №7 из 21:
Увеличить