Официальное опубликование правовых актов
ОФИЦИАЛЬНОЕ ОПУБЛИКОВАНИЕ
Постановление Главного управления архитектуры и градостроительства Рязанской области от 29.09.2025 № 840-п
"О внесении изменений в правила землепользования и застройки муниципального образования – Казачинское сельское поселение Шацкого муниципального района Рязанской области"
(Зарегистрирован 29.09.2025 № 1202)
Номер опубликования: 6201202510030005
Дата опубликования: 03.10.2025
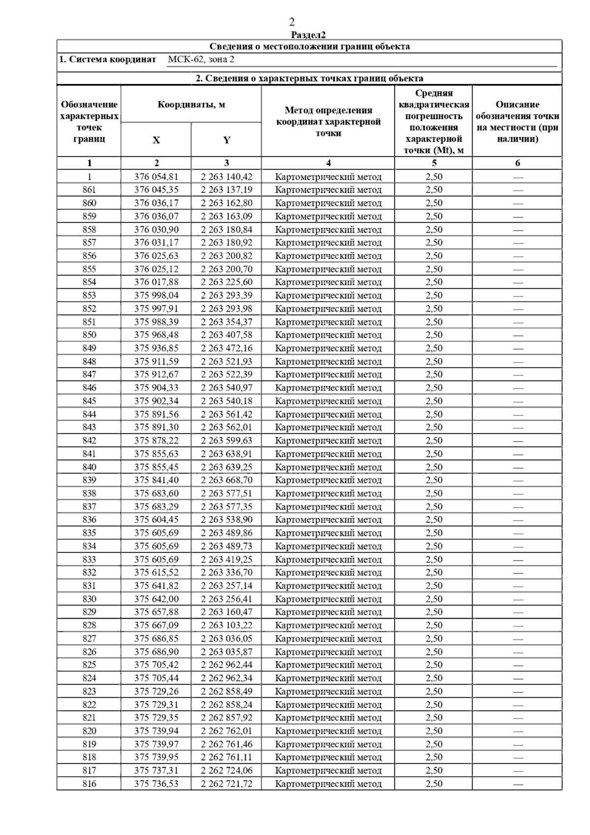
Страница №4 из 105:
Увеличить