Официальное опубликование правовых актов
ОФИЦИАЛЬНОЕ ОПУБЛИКОВАНИЕ
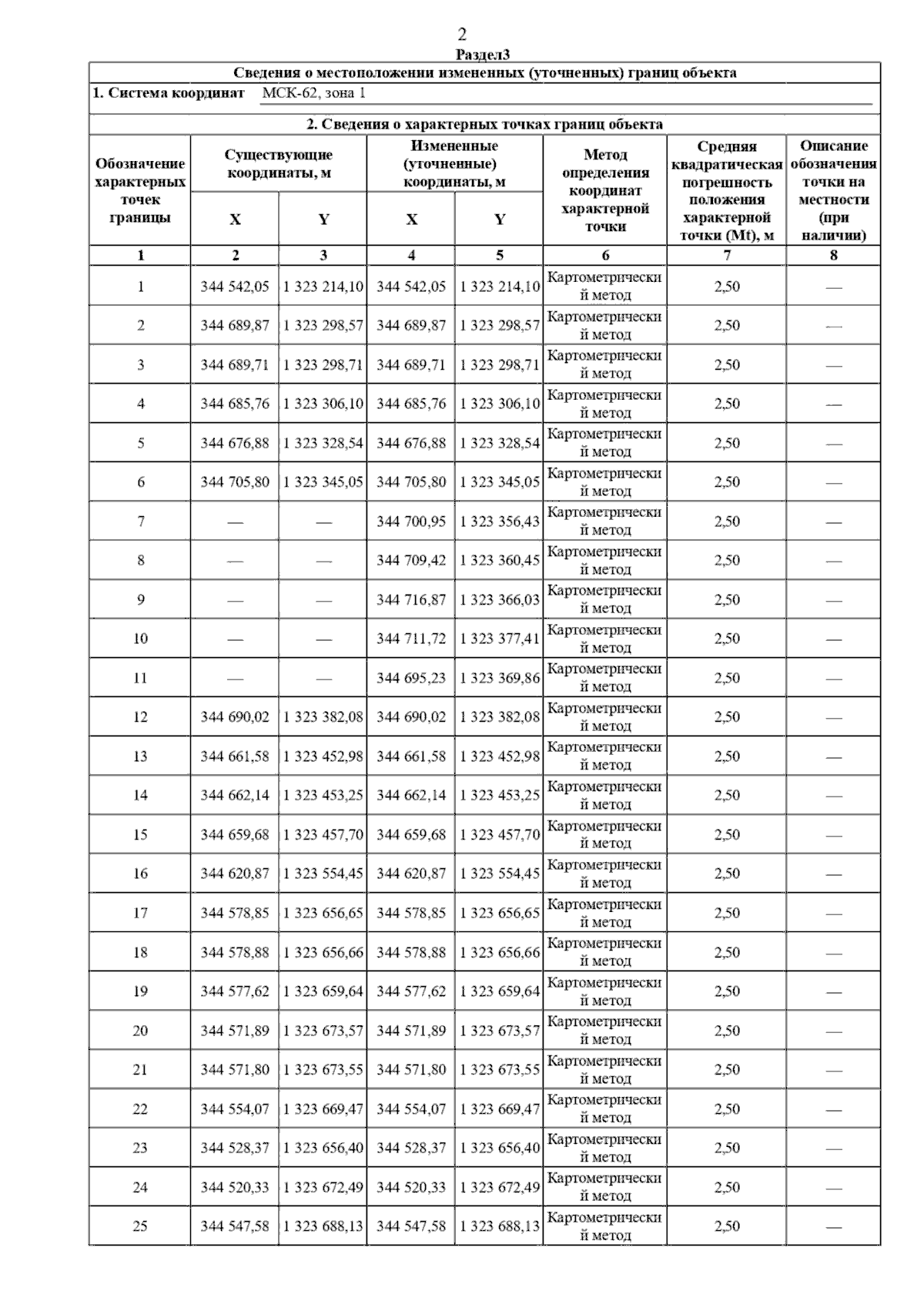
Постановление Главного управления архитектуры и градостроительства Рязанской области от 26.09.2025 № 831-п
"О внесении изменения в правила землепользования и застройки муниципального образования – Полянское сельское поселение Скопинского муниципального района Рязанской области"
(Зарегистрирован 26.09.2025 № 1192)
Номер опубликования: 6201202510020009
Дата опубликования: 02.10.2025
Страница №4 из 9:
Увеличить