Официальное опубликование правовых актов
ОФИЦИАЛЬНОЕ ОПУБЛИКОВАНИЕ
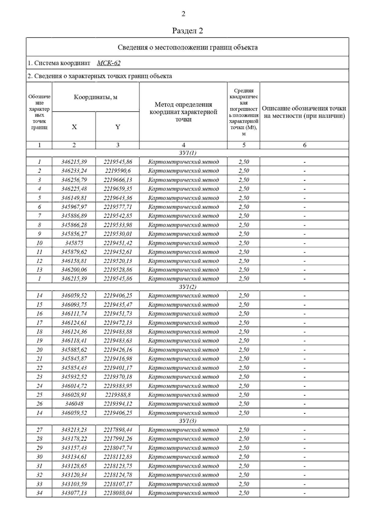
Постановление Главного управления архитектуры и градостроительства Рязанской области от 11.09.2025 № 780-п
"О внесении изменений в правила землепользования и застройки муниципального образования - Сараевское городское поселение Сараевского муниципального района Рязанской области"
(Зарегистрирован 12.09.2025 № 1127)
Номер опубликования: 6201202509180001
Дата опубликования: 18.09.2025
Страница №4 из 82:
Увеличить