Официальное опубликование правовых актов
ОФИЦИАЛЬНОЕ ОПУБЛИКОВАНИЕ
Постановление Главного управления архитектуры и градостроительства Рязанской области от 07.03.2025 № 151-п
"Об утверждении изменений в правила землепользования и застройки муниципального образования - Успенское сельское поселение Скопинского муниципального района Рязанской области"
(Зарегистрирован 10.03.2025 № 242)
Номер опубликования: 6201202503120002
Дата опубликования: 12.03.2025
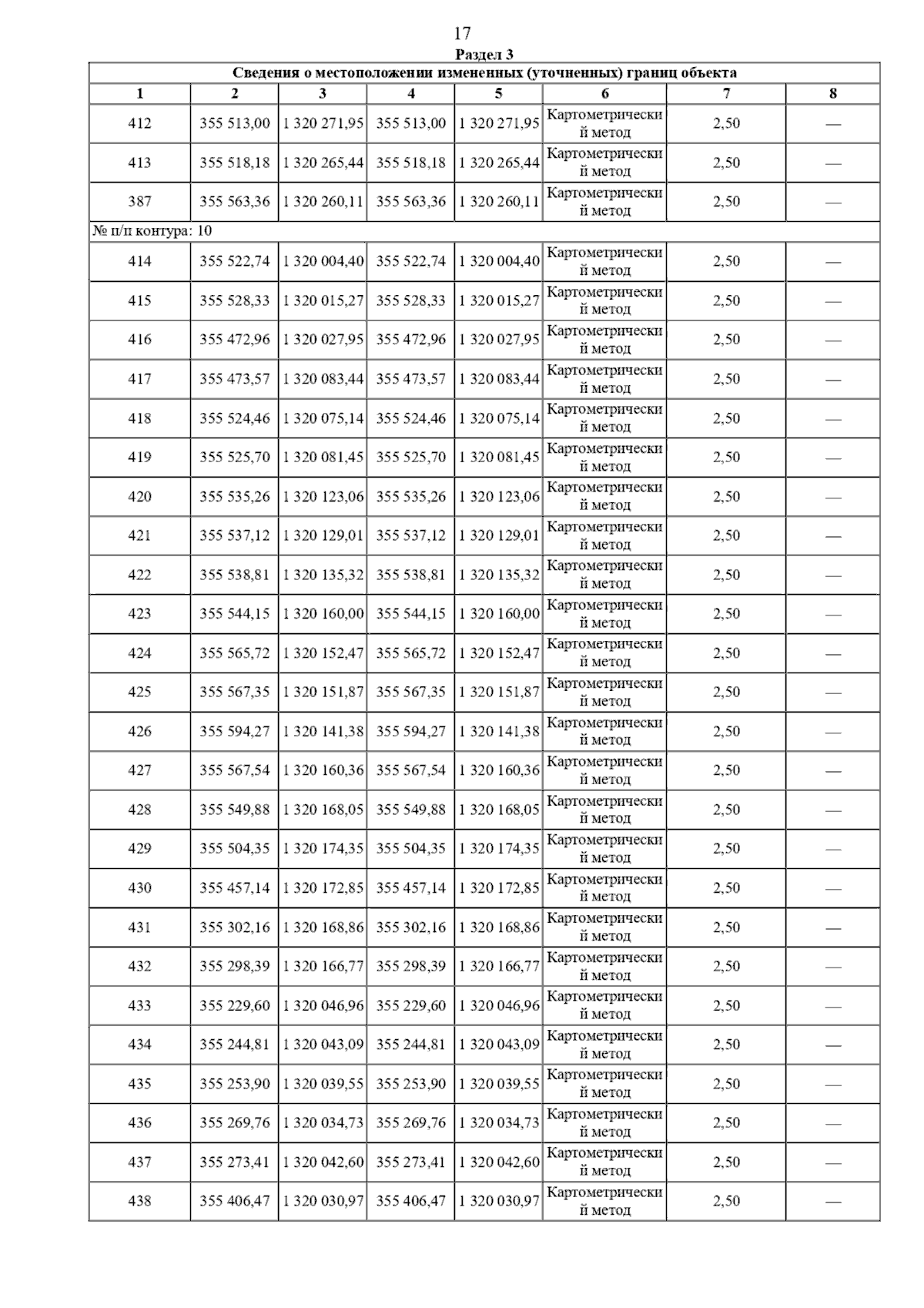
Страница №143 из 154:
Увеличить