Официальное опубликование правовых актов
ОФИЦИАЛЬНОЕ ОПУБЛИКОВАНИЕ
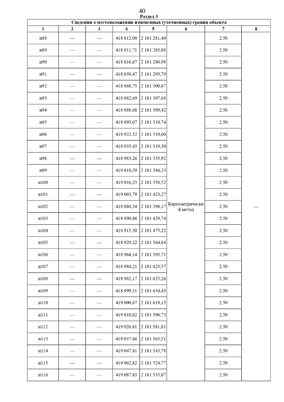
Постановление Главного управления архитектуры и градостроительства Рязанской области от 24.02.2025 № 131-п
"Об утверждении генерального плана муниципального образования – Кутуковское сельское поселение Спасского муниципального района Рязанской области"
(Зарегистрирован 25.02.2025 № 209)
Номер опубликования: 6201202502280001
Дата опубликования: 28.02.2025
Страница №51 из 55:
Увеличить