Официальное опубликование правовых актов
ОФИЦИАЛЬНОЕ ОПУБЛИКОВАНИЕ
Постановление Главного управления архитектуры и градостроительства Рязанской области от 19.02.2025 № 128-п
"Об утверждении правил землепользования и застройки муниципального образования – Заречинское сельское поселение Спасского муниципального района Рязанской области"
(Зарегистрирован 20.02.2025 № 203)
Номер опубликования: 6201202502250004
Дата опубликования: 25.02.2025
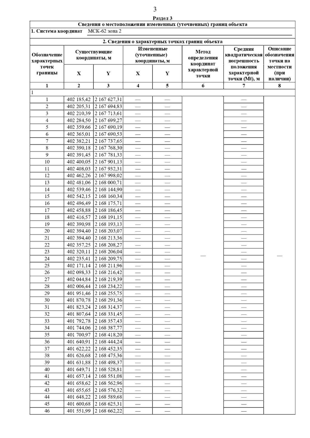
Страница №40 из 243:
Увеличить