Официальное опубликование правовых актов
ОФИЦИАЛЬНОЕ ОПУБЛИКОВАНИЕ
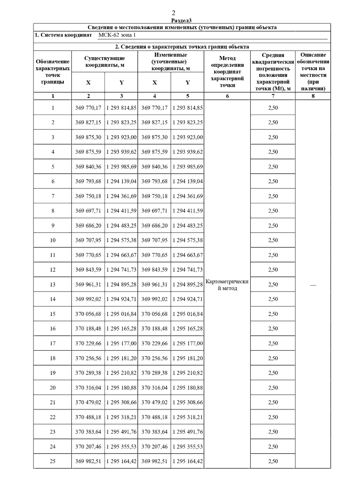
Постановление Главного управления архитектуры и градостроительства Рязанской области от 12.02.2025 № 105-п
"Об утверждении изменений в правила землепользования и застройки муниципального образования - Грязновское сельское поселение Михайловского муниципального района Рязанской области"
(Зарегистрирован 13.02.2025 № 164)
Номер опубликования: 6201202502170003
Дата опубликования: 17.02.2025
Страница №82 из 86:
Увеличить