Официальное опубликование правовых актов
ОФИЦИАЛЬНОЕ ОПУБЛИКОВАНИЕ
Постановление Главного управления архитектуры и градостроительства Рязанской области от 24.01.2025 № 70-п
"Об утверждении изменений в правила землепользования и застройки муниципального образования – Захаровское сельское поселение Захаровского муниципального района Рязанской области"
(Зарегистрирован 24.01.2025 № 101)
Номер опубликования: 6201202501290003
Дата опубликования: 29.01.2025
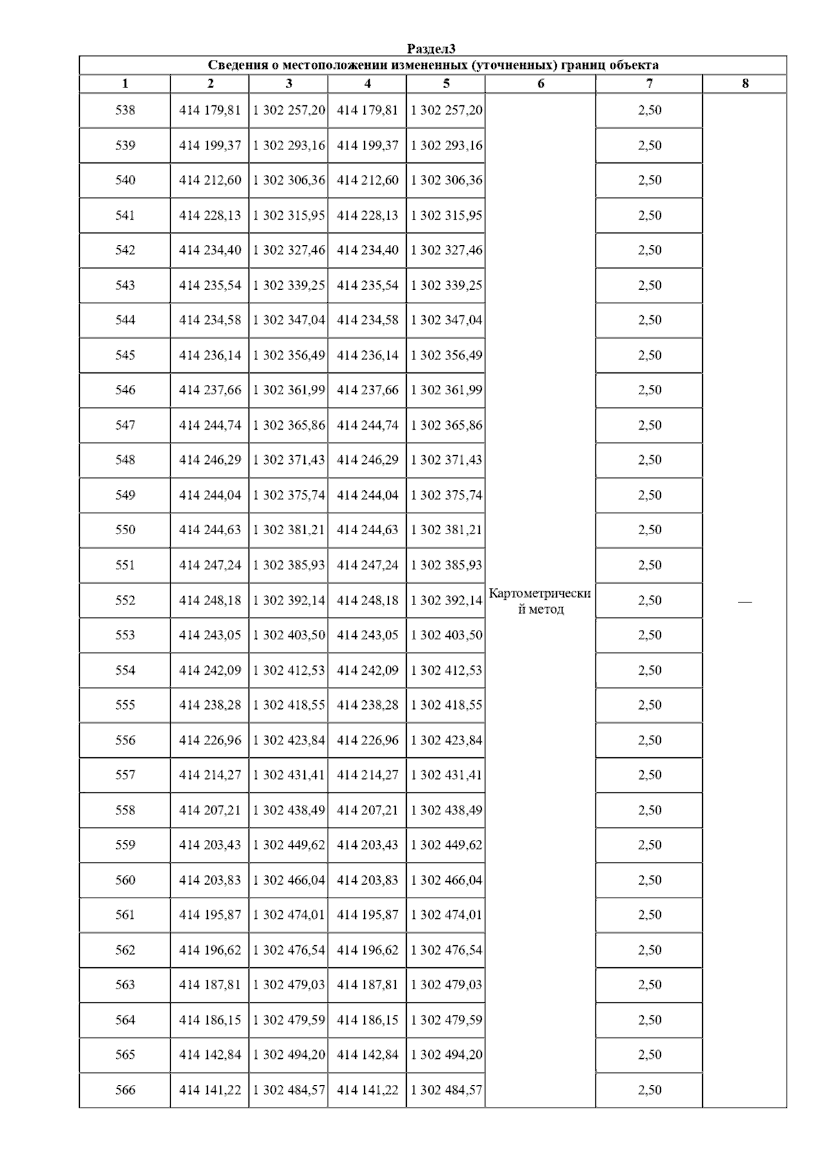
Страница №113 из 125:
Увеличить