Официальное опубликование правовых актов
ОФИЦИАЛЬНОЕ ОПУБЛИКОВАНИЕ
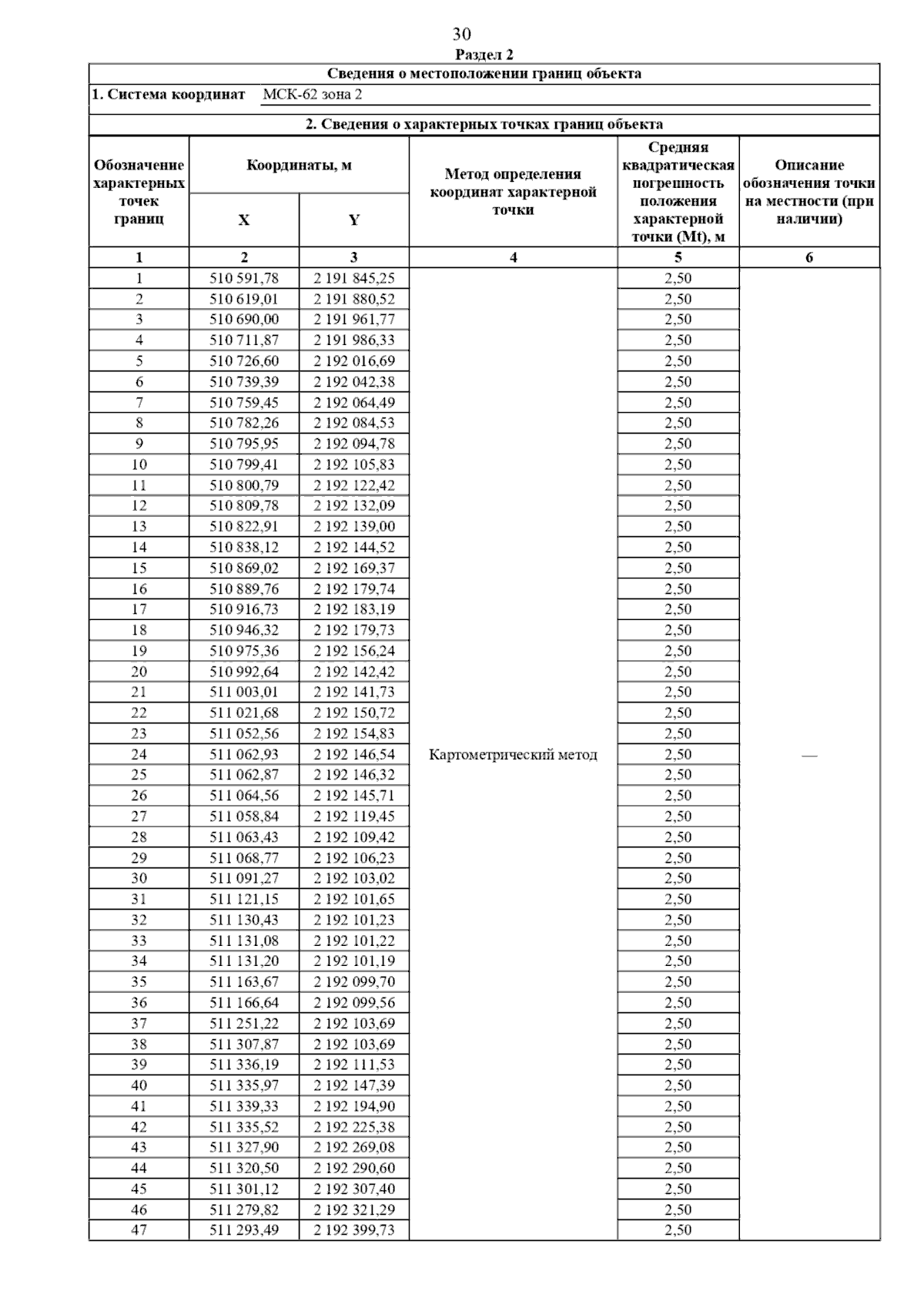
Постановление Главного управления архитектуры и градостроительства Рязанской области от 17.01.2025 № 37-п
"Об утверждении генерального плана муниципального образования – Молькинское сельское поселение Клепиковского муниципального района Рязанской области"
(Зарегистрирован 20.01.2025 № 53)
Номер опубликования: 6201202501210002
Дата опубликования: 21.01.2025
Страница №40 из 43:
Увеличить