Официальное опубликование правовых актов
ОФИЦИАЛЬНОЕ ОПУБЛИКОВАНИЕ
Постановление Главного управления архитектуры и градостроительства Рязанской области от 20.12.2024 № 806-п
"Об утверждении правил землепользования и застройки муниципального образования – Селецкое сельское поселение Рыбновского муниципального района Рязанской области"
(Зарегистрирован 23.12.2024 № 1627)
Номер опубликования: 6201202412260050
Дата опубликования: 26.12.2024
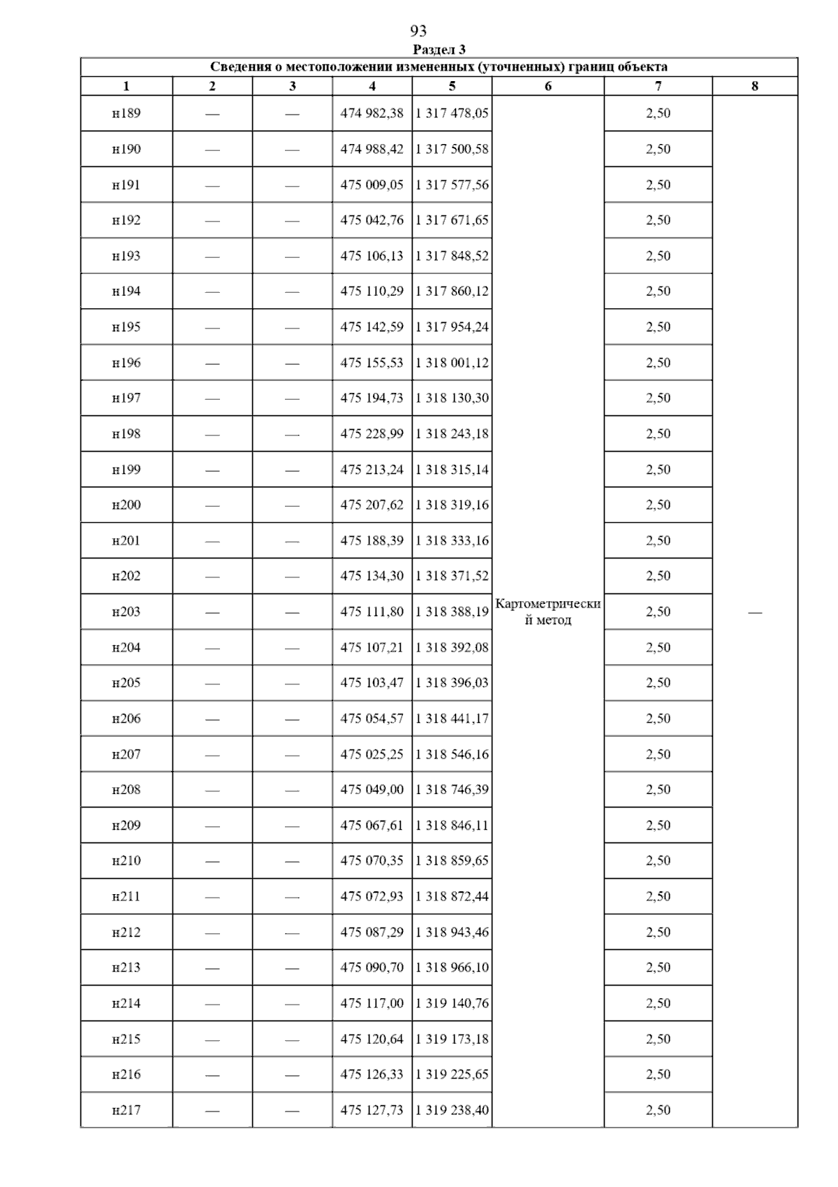
Страница №127 из 133:
Увеличить