Официальное опубликование правовых актов
ОФИЦИАЛЬНОЕ ОПУБЛИКОВАНИЕ
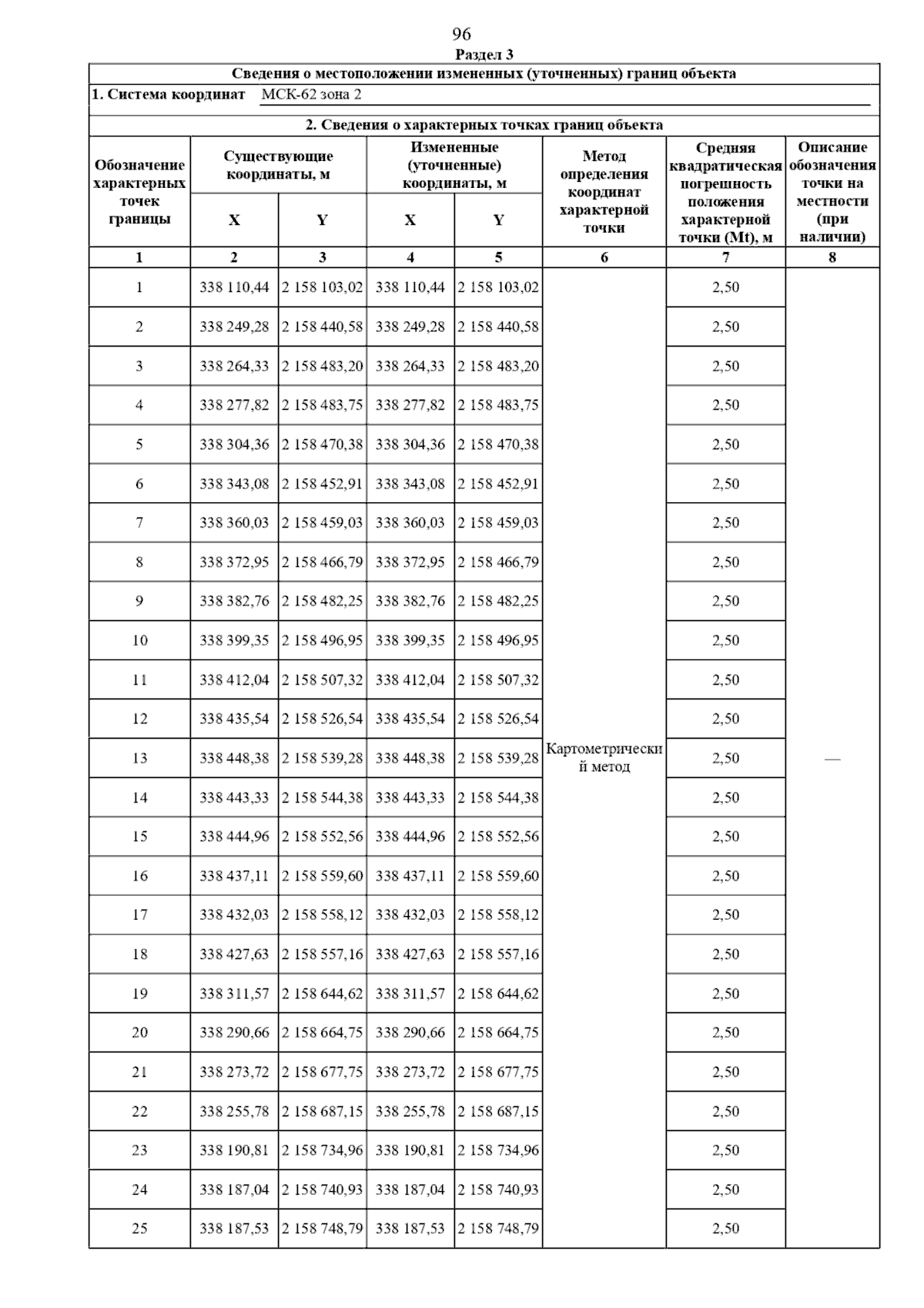
Постановление Главного управления архитектуры и градостроительства Рязанской области от 29.10.2024 № 611-п
"Об утверждении генерального плана муниципального образования – Ряжский муниципальный округ Рязанской области применительно к территориям города Ряжск с прилегающей территорией, Алешинского и Журавинского сельских округов Ряжского района Рязанской области"
(Зарегистрирован 29.10.2024 № 1068)
Номер опубликования: 6201202410310006
Дата опубликования: 31.10.2024
Страница №111 из 248:
Увеличить