Официальное опубликование правовых актов
ОФИЦИАЛЬНОЕ ОПУБЛИКОВАНИЕ
Постановление Главного управления архитектуры и градостроительства Рязанской области от 28.10.2024 № 603-п
"Об утверждении генерального плана муниципального образования – Сасовский муниципальный округ Рязанской области применительно к территории Батьковского сельского округа Сасовского района Рязанской области"
(Зарегистрирован 28.10.2024 № 1058)
Номер опубликования: 6201202410300018
Дата опубликования: 30.10.2024
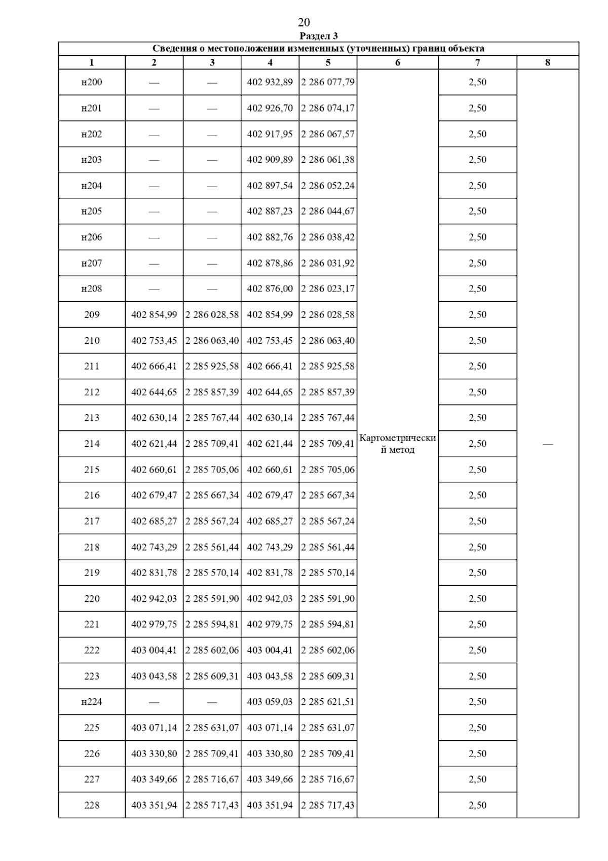
Страница №31 из 75:
Увеличить