Официальное опубликование правовых актов
ОФИЦИАЛЬНОЕ ОПУБЛИКОВАНИЕ
Постановление Главного управления архитектуры и градостроительства Рязанской области от 14.10.2024 № 566-п
"Об утверждении изменений в правила землепользования и застройки муниципального образования – Рыбновское городское поселение Рыбновского муниципального района Рязанской области"
(Зарегистрирован 16.10.2024 № 1006)
Номер опубликования: 6201202410180003
Дата опубликования: 18.10.2024
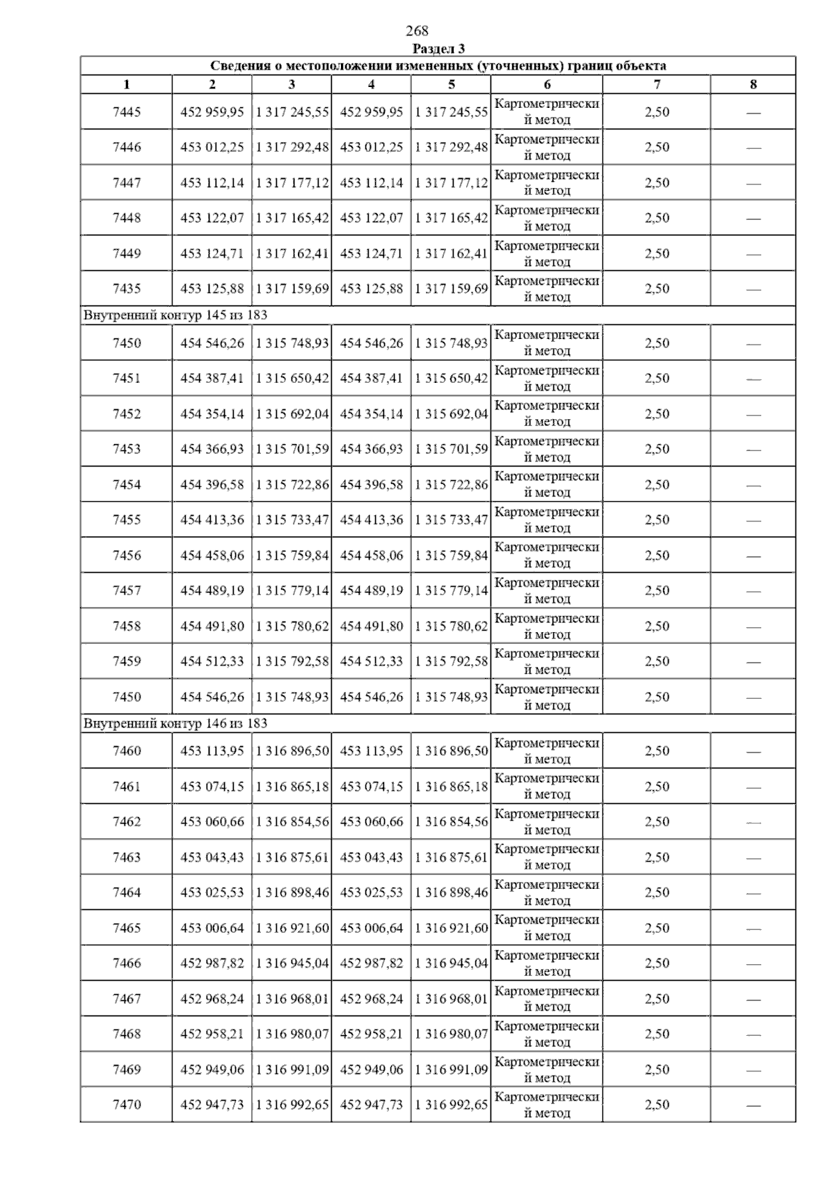
Страница №532 из 555:
Увеличить