Официальное опубликование правовых актов
ОФИЦИАЛЬНОЕ ОПУБЛИКОВАНИЕ
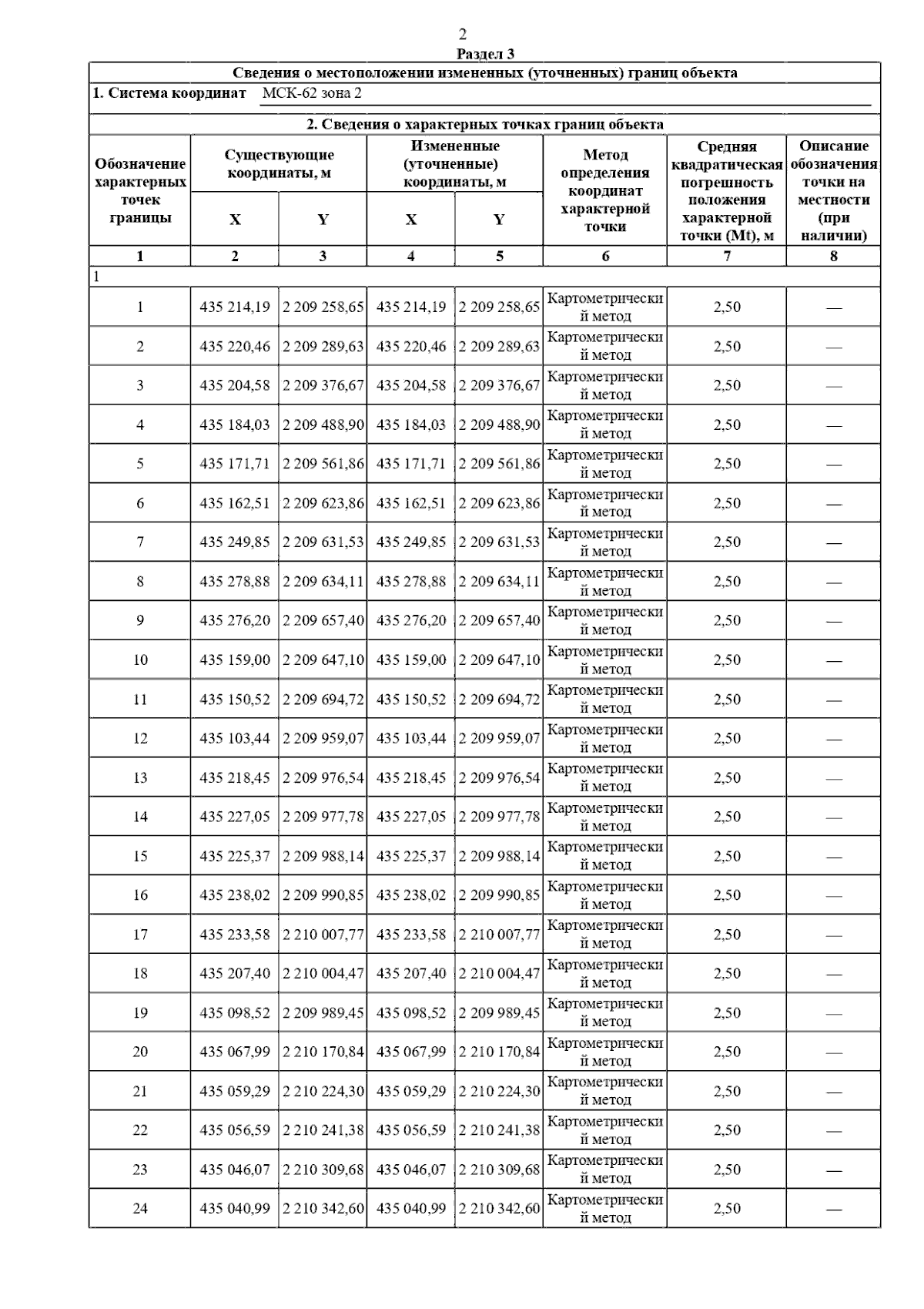
Постановление Главного управления архитектуры и градостроительства Рязанской области от 07.10.2024 № 531-п
"Об утверждении изменений в правила землепользования и застройки муниципального образования – Ижевское сельское поселение Спасского муниципального района Рязанской области"
(Зарегистрирован 08.10.2024 № 946)
Номер опубликования: 6201202410090005
Дата опубликования: 09.10.2024
Страница №10 из 16:
Увеличить