Официальное опубликование правовых актов
ОФИЦИАЛЬНОЕ ОПУБЛИКОВАНИЕ
Постановление Главного управления архитектуры и градостроительства Рязанской области от 30.09.2024 № 511-п
"Об утверждении правил землепользования и застройки муниципального образования – Плахинское сельское поселение Захаровского муниципального района Рязанской области"
(Зарегистрирован 01.10.2024 № 907)
Номер опубликования: 6201202410040008
Дата опубликования: 04.10.2024
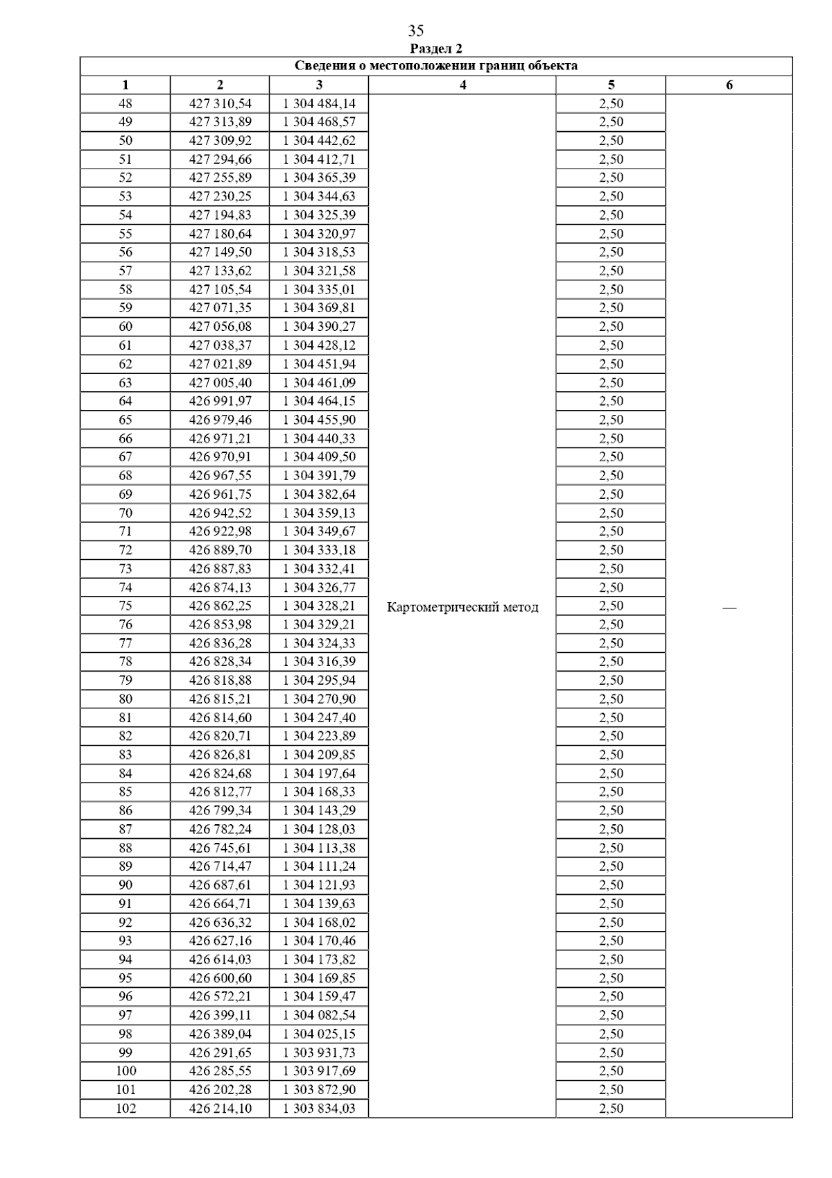
Страница №65 из 107:
Увеличить