Официальное опубликование правовых актов
ОФИЦИАЛЬНОЕ ОПУБЛИКОВАНИЕ
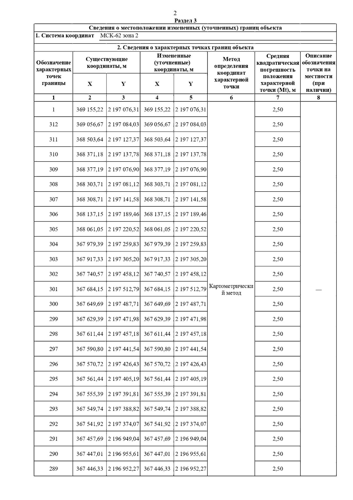
Постановление Главного управления архитектуры и градостроительства Рязанской области от 26.09.2024 № 504-п
"Об утверждении изменений в правила землепользования и застройки муниципального образования – Сапожковское городское поселение Сапожковского муниципального района Рязанской области"
(Зарегистрирован 30.09.2024 № 896)
Номер опубликования: 6201202410020005
Дата опубликования: 02.10.2024
Страница №34 из 51:
Увеличить