Официальное опубликование правовых актов
ОФИЦИАЛЬНОЕ ОПУБЛИКОВАНИЕ
Постановление Главного управления архитектуры и градостроительства Рязанской области от 25.09.2024 № 496-п
"Об утверждении генерального плана муниципального образования – Сасовский муниципальный округ Рязанской области применительно к территории Новоберезовского сельского округа Сасовского района Рязанской области"
(Зарегистрирован 26.09.2024 № 888)
Номер опубликования: 6201202410010008
Дата опубликования: 01.10.2024
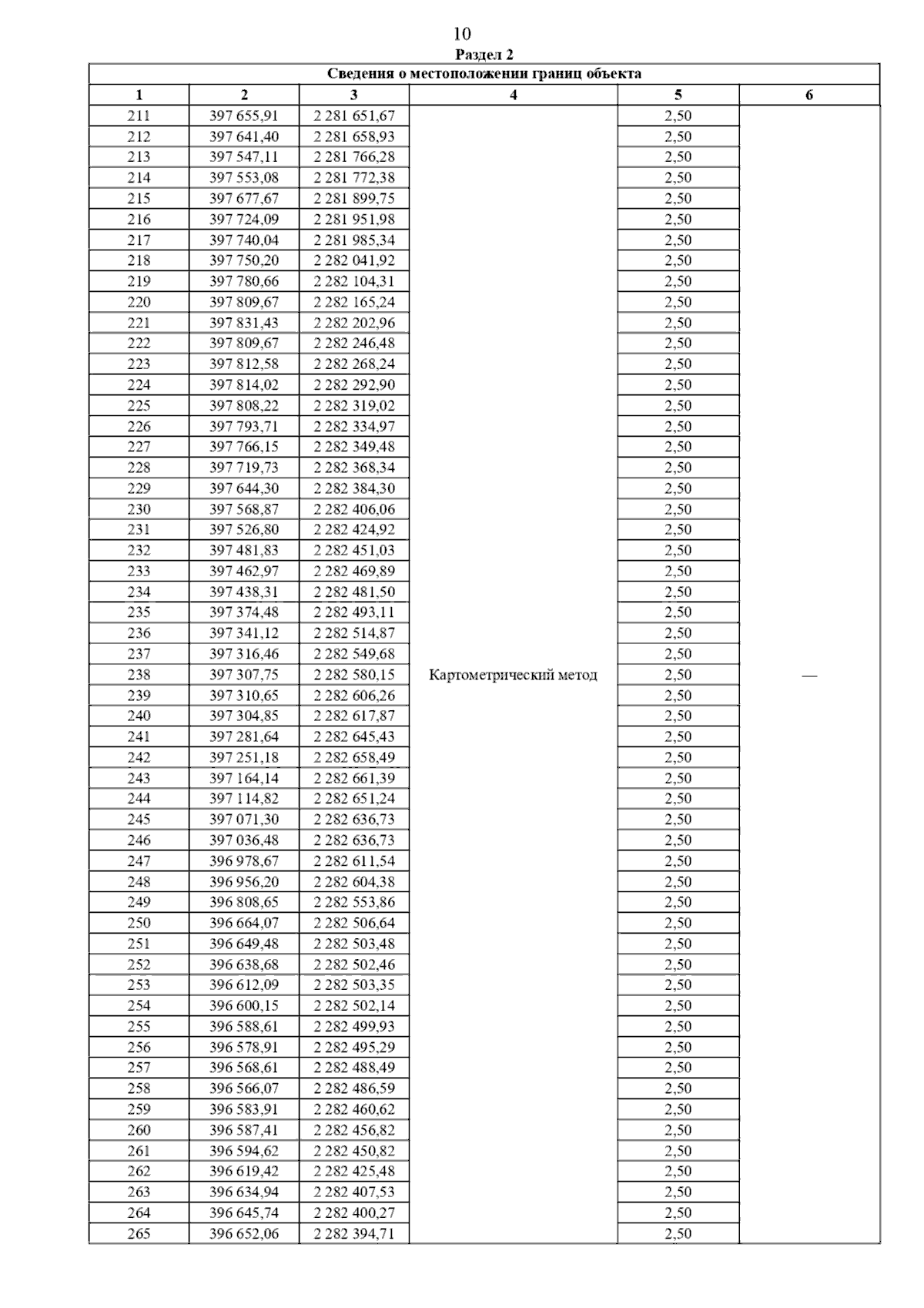
Страница №21 из 28:
Увеличить