Официальное опубликование правовых актов
ОФИЦИАЛЬНОЕ ОПУБЛИКОВАНИЕ
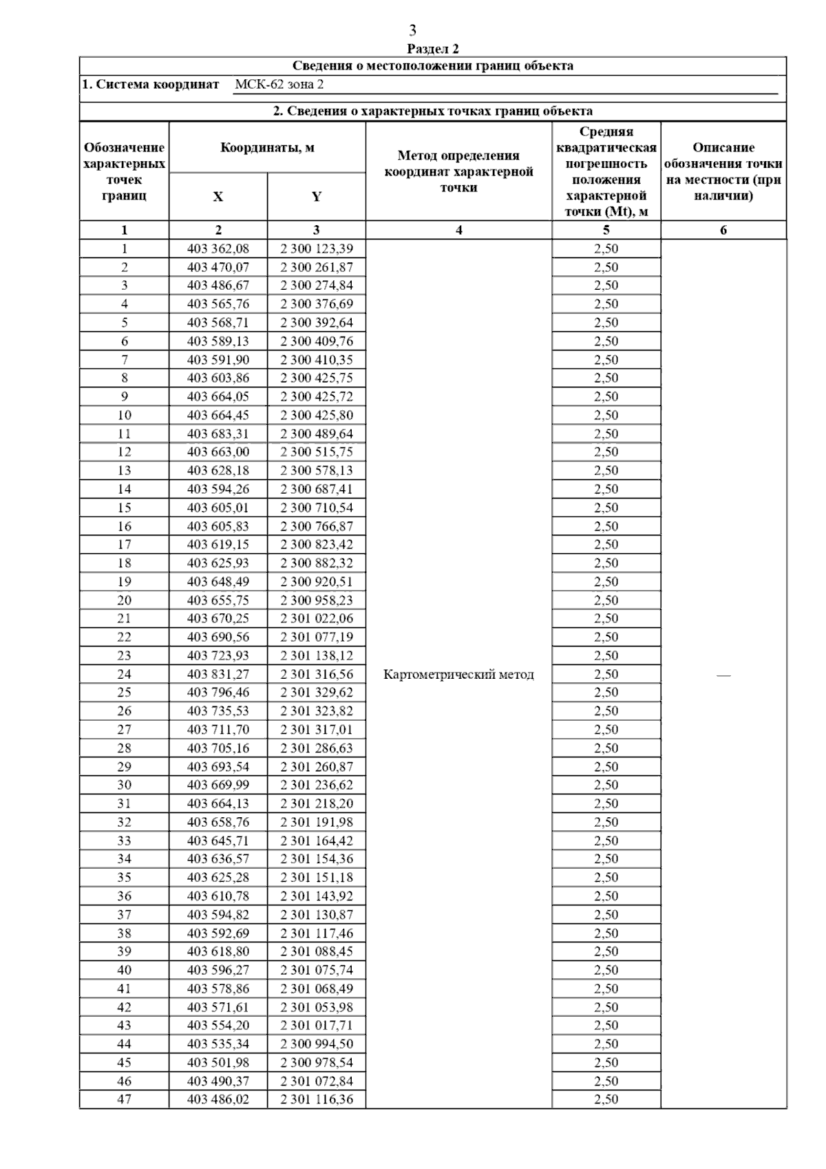
Постановление Главного управления архитектуры и градостроительства Рязанской области от 20.09.2024 № 491-п
"Об утверждении генерального плана муниципального образования – Сасовский муниципальный округ Рязанской области применительно к территории Кустаревского сельского округа Сасовского района Рязанской области"
(Зарегистрирован 20.09.2024 № 882)
Номер опубликования: 6201202409250005
Дата опубликования: 25.09.2024
Страница №14 из 16:
Увеличить