Официальное опубликование правовых актов
ОФИЦИАЛЬНОЕ ОПУБЛИКОВАНИЕ
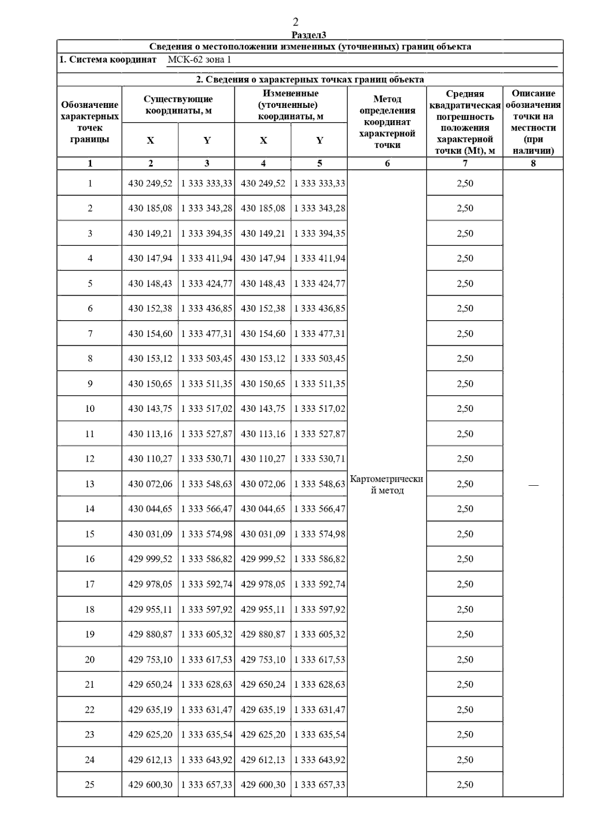
Постановление Главного управления архитектуры и градостроительства Рязанской области от 17.09.2024 № 484-п
"Об утверждении изменений в генеральный план муниципального образования – Турлатовское сельское поселение Рязанского муниципального района Рязанской области"
(Зарегистрирован 17.09.2024 № 867)
Номер опубликования: 6201202409190003
Дата опубликования: 19.09.2024
Страница №4 из 8:
Увеличить