Официальное опубликование правовых актов
ОФИЦИАЛЬНОЕ ОПУБЛИКОВАНИЕ
Постановление Главного управления архитектуры и градостроительства Рязанской области от 09.09.2024 № 471-п
"Об утверждении правил землепользования и застройки муниципального образования – Глебковское сельское поселение Рыбновского муниципального района Рязанской области"
(Зарегистрирован 10.09.2024 № 848)
Номер опубликования: 6201202409120002
Дата опубликования: 12.09.2024
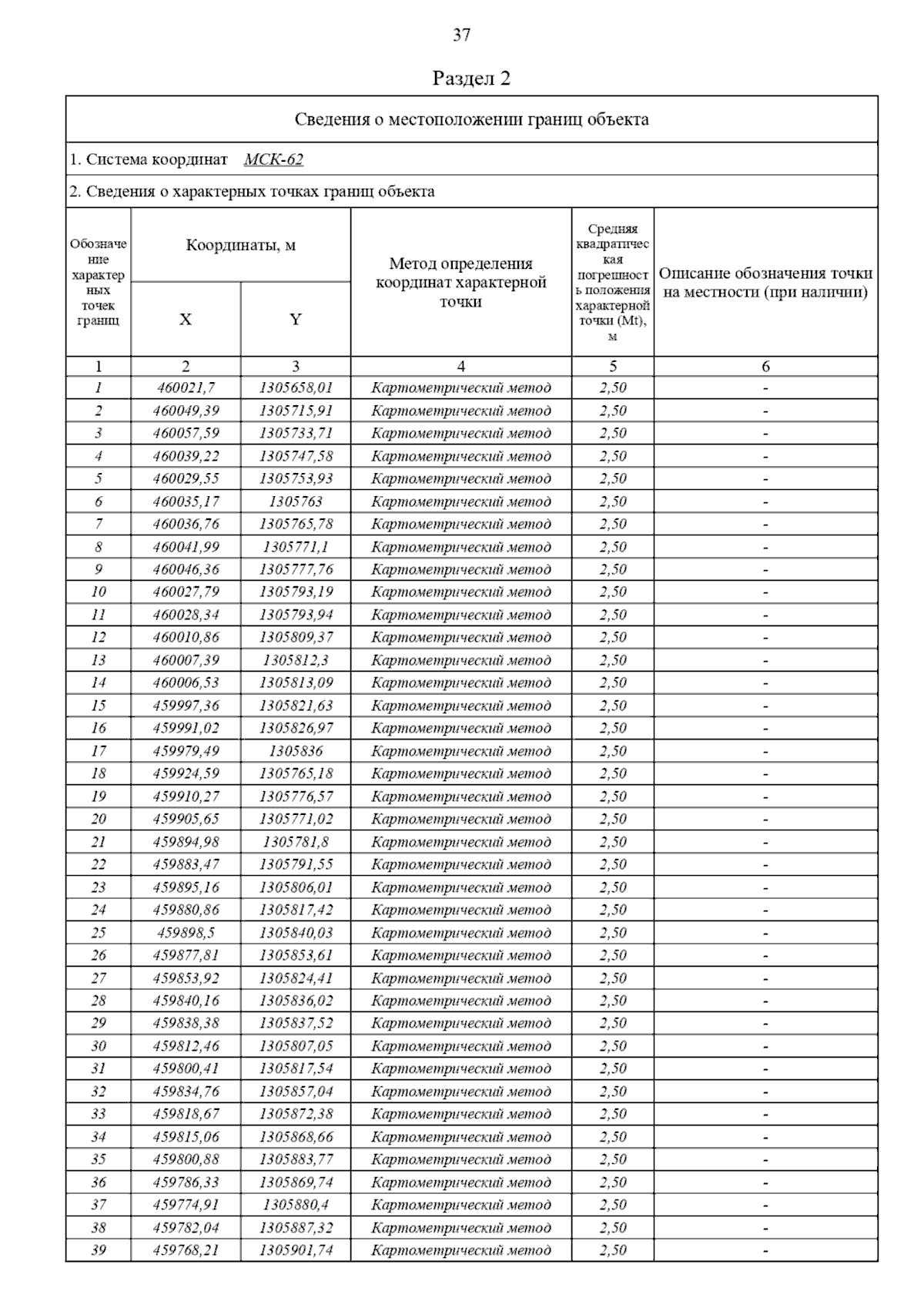
Страница №73 из 90:
Увеличить