Официальное опубликование правовых актов
ОФИЦИАЛЬНОЕ ОПУБЛИКОВАНИЕ
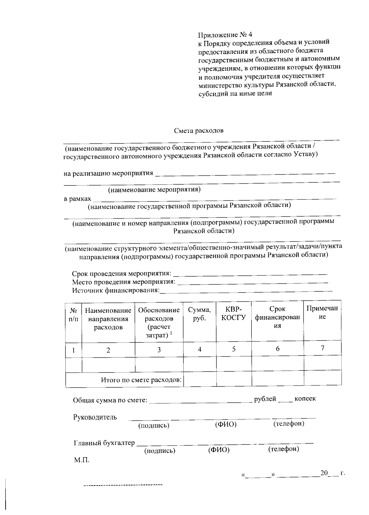
Постановление Министерства культуры Рязанской области от 06.09.2024 № 14
"Об утверждении Порядка определения объема и условий предоставления из областного бюджета государственным бюджетным и автономным учреждениям, в отношении которых функции и полномочия учредителя осуществляет министерство культуры Рязанской области, субсидий на иные цели"
(Зарегистрирован 09.09.2024 № 843)
Номер опубликования: 6201202409100007
Дата опубликования: 10.09.2024
Страница №40 из 48:
Увеличить