Официальное опубликование правовых актов
ОФИЦИАЛЬНОЕ ОПУБЛИКОВАНИЕ
Постановление Главного управления архитектуры и градостроительства Рязанской области от 30.08.2024 № 453-п
"Об утверждении правил землепользования и застройки муниципального образования – Сасовский муниципальный округ Рязанской области применительно к территории Глядковского сельского округа Сасовского района Рязанской области"
(Зарегистрирован 02.09.2024 № 825)
Номер опубликования: 6201202409050008
Дата опубликования: 05.09.2024
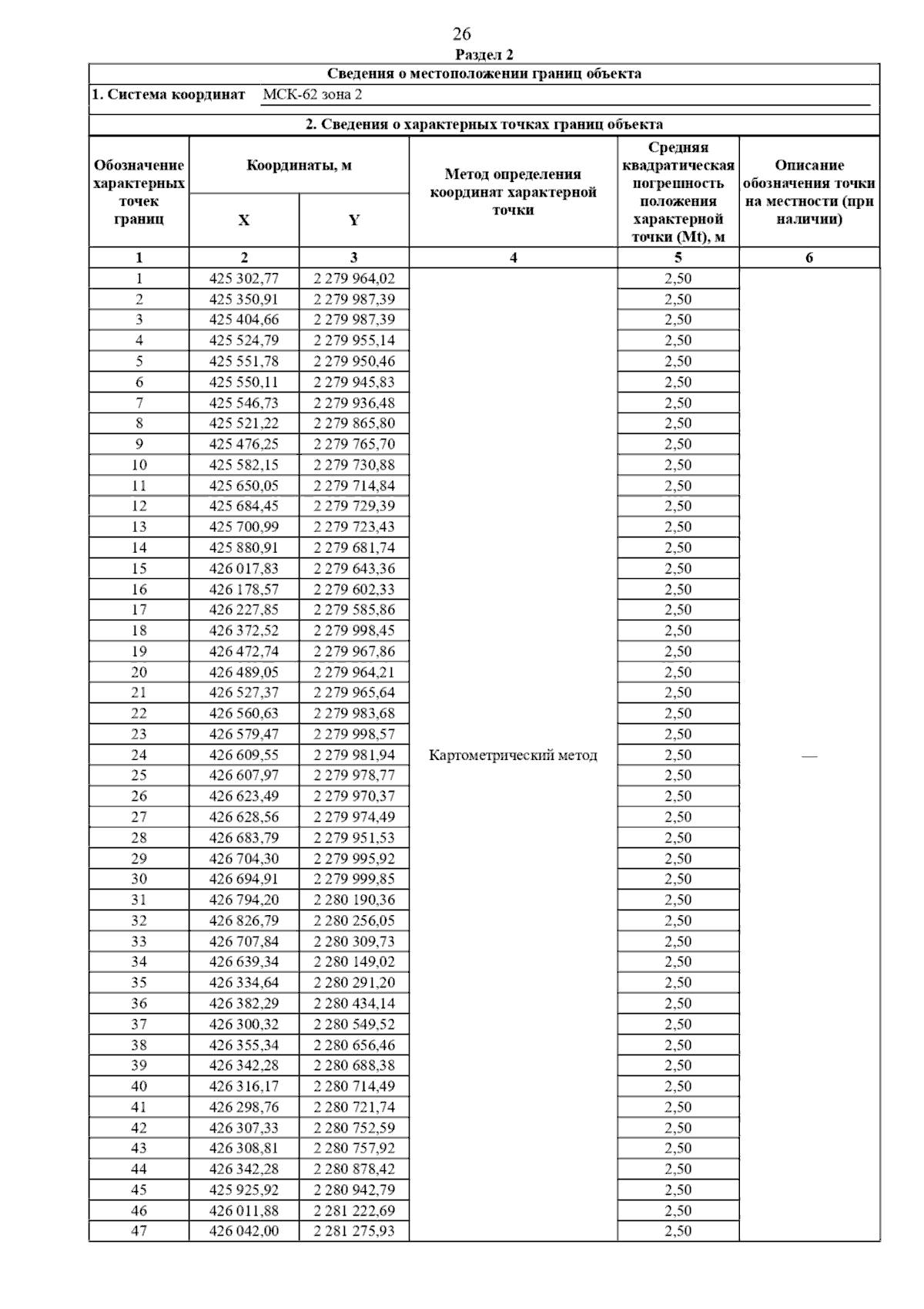
Страница №63 из 153:
Увеличить