Официальное опубликование правовых актов
ОФИЦИАЛЬНОЕ ОПУБЛИКОВАНИЕ
Постановление Главного управления архитектуры и градостроительства Рязанской области от 28.08.2024 № 448-п
"Об утверждении правил землепользования и застройки муниципального образования – Сасовский муниципальный округ Рязанской области применительно к территории Рожковского сельского округа Сасовского района Рязанской области"
(Зарегистрирован 29.08.2024 № 812)
Номер опубликования: 6201202409020013
Дата опубликования: 02.09.2024
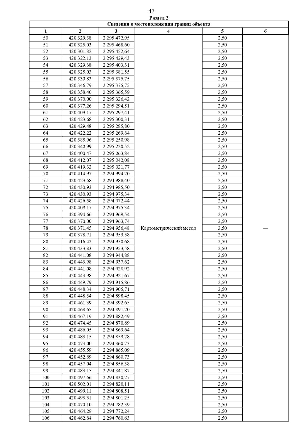
Страница №85 из 160:
Увеличить