Официальное опубликование правовых актов
ОФИЦИАЛЬНОЕ ОПУБЛИКОВАНИЕ
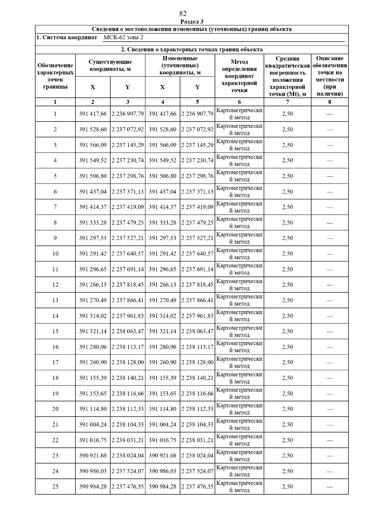
Постановление Главного управления архитектуры и градостроительства Рязанской области от 21.08.2024 № 432-п
"Об утверждении генерального плана муниципального образования – Путятинский муниципальный округ Рязанской области применительно к территории Карабухинского сельского округа Путятинского района Рязанской области"
(Зарегистрирован 21.08.2024 № 786)
Номер опубликования: 6201202408230002
Дата опубликования: 23.08.2024
Страница №93 из 97:
Увеличить