Официальное опубликование правовых актов
ОФИЦИАЛЬНОЕ ОПУБЛИКОВАНИЕ
Постановление Главного управления архитектуры и градостроительства Рязанской области от 02.08.2024 № 380-п
"Об утверждении изменений в правила землепользования и застройки муниципального образования – Ленинское сельское поселение Старожиловского муниципального района Рязанской области"
(Зарегистрирован 02.08.2024 № 702)
Номер опубликования: 6201202408060003
Дата опубликования: 06.08.2024
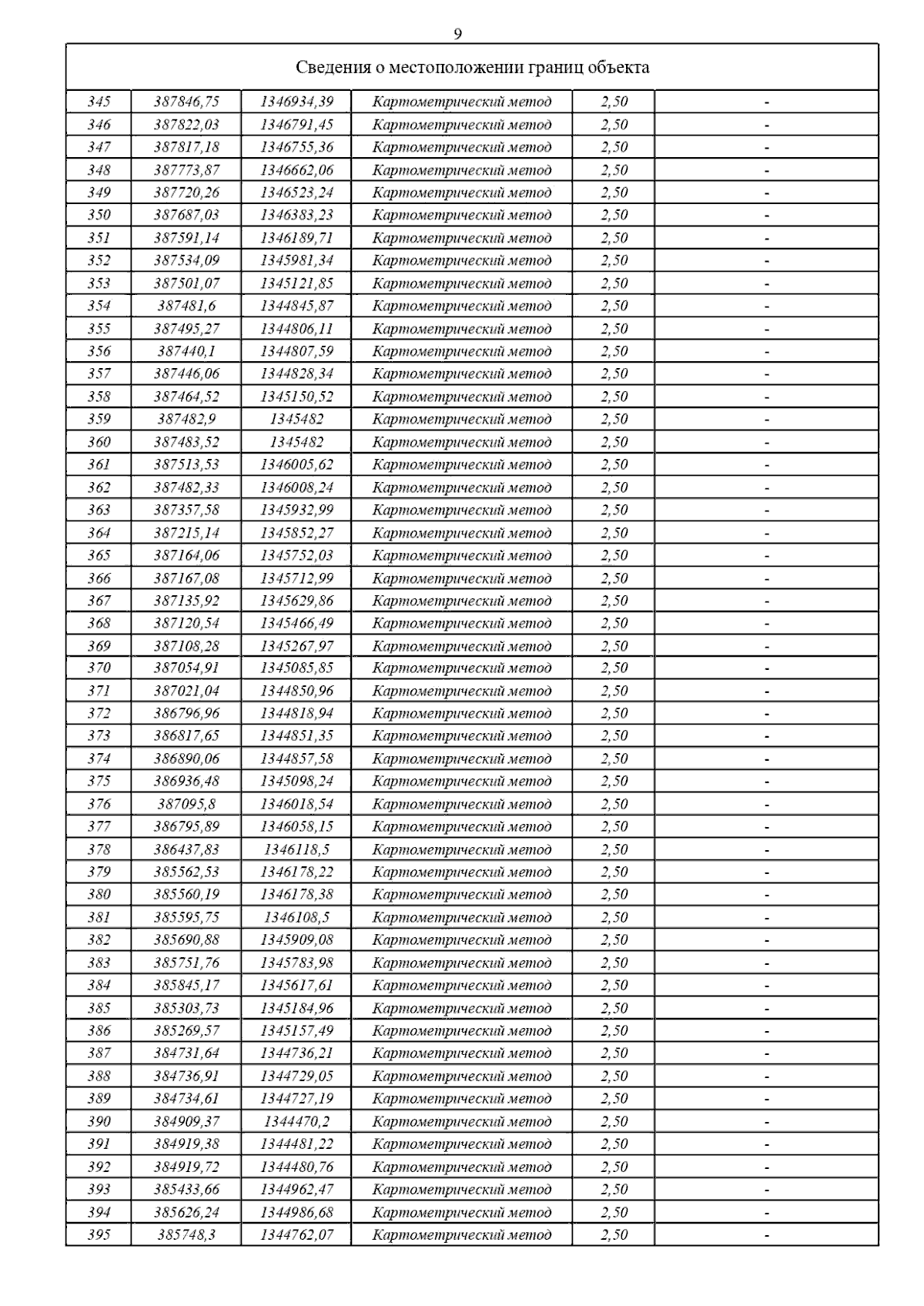
Страница №12 из 63:
Увеличить