Официальное опубликование правовых актов
ОФИЦИАЛЬНОЕ ОПУБЛИКОВАНИЕ
Постановление Главного управления архитектуры и градостроительства Рязанской области от 03.07.2024 № 323-п
"Об утверждении изменений в правила землепользования и застройки муниципального образования – Истобниковское сельское поселение Рыбновского муниципального района Рязанской области"
(Зарегистрирован 04.07.2024 № 616)
Номер опубликования: 6201202407090012
Дата опубликования: 09.07.2024
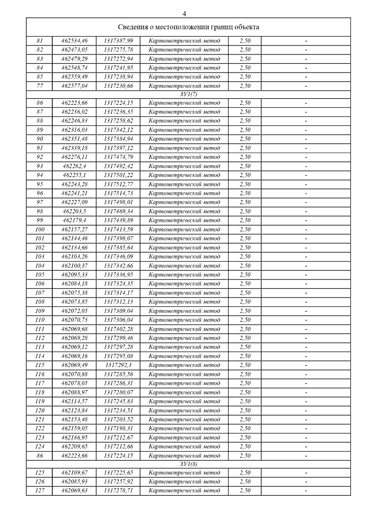
Страница №6 из 18:
Увеличить