Официальное опубликование правовых актов
ОФИЦИАЛЬНОЕ ОПУБЛИКОВАНИЕ
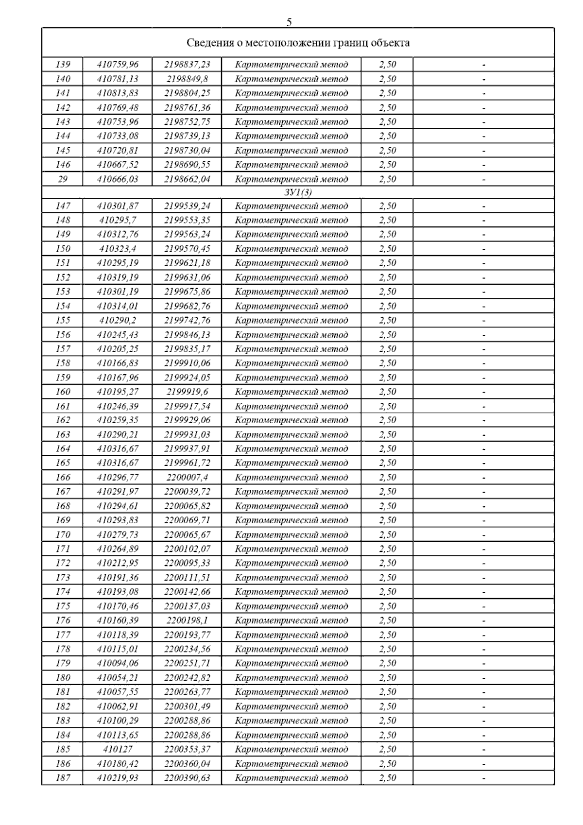
Постановление Главного управления архитектуры и градостроительства Рязанской области от 17.05.2024 № 225-п
"Об утверждении изменений в генеральный план муниципального образования – Задубровское сельское поселение Шиловского муниципального района Рязанской области"
(Зарегистрирован 17.05.2024 № 443)
Номер опубликования: 6201202405210005
Дата опубликования: 21.05.2024
Страница №10 из 19:
Увеличить