Официальное опубликование правовых актов
ОФИЦИАЛЬНОЕ ОПУБЛИКОВАНИЕ
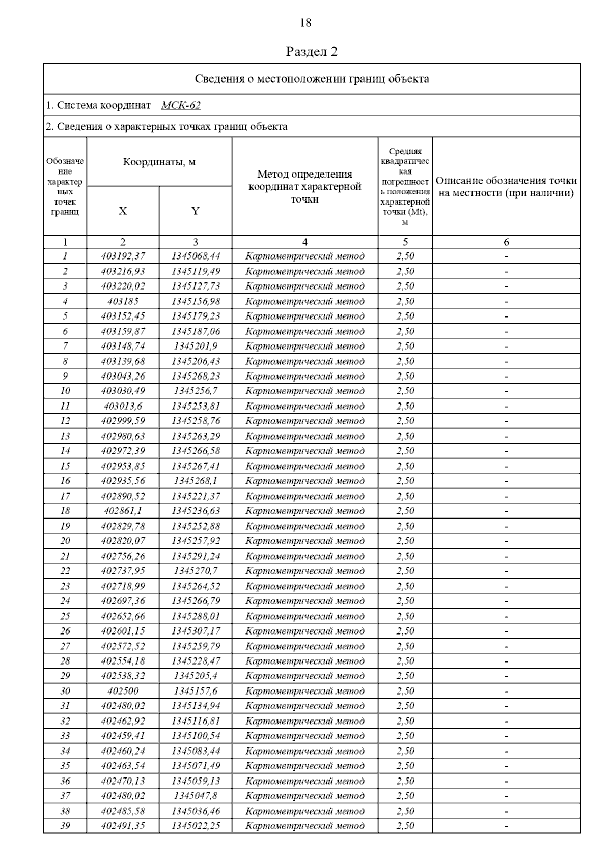
Постановление Главного управления архитектуры и градостроительства Рязанской области от 17.05.2024 № 227-п
"Об утверждении генерального плана муниципального образования – Гулынское сельское поселение Старожиловского муниципального района Рязанской области"
(Зарегистрирован 17.05.2024 № 445)
Номер опубликования: 6201202405210003
Дата опубликования: 21.05.2024
Страница №30 из 47:
Увеличить