Официальное опубликование правовых актов
ОФИЦИАЛЬНОЕ ОПУБЛИКОВАНИЕ
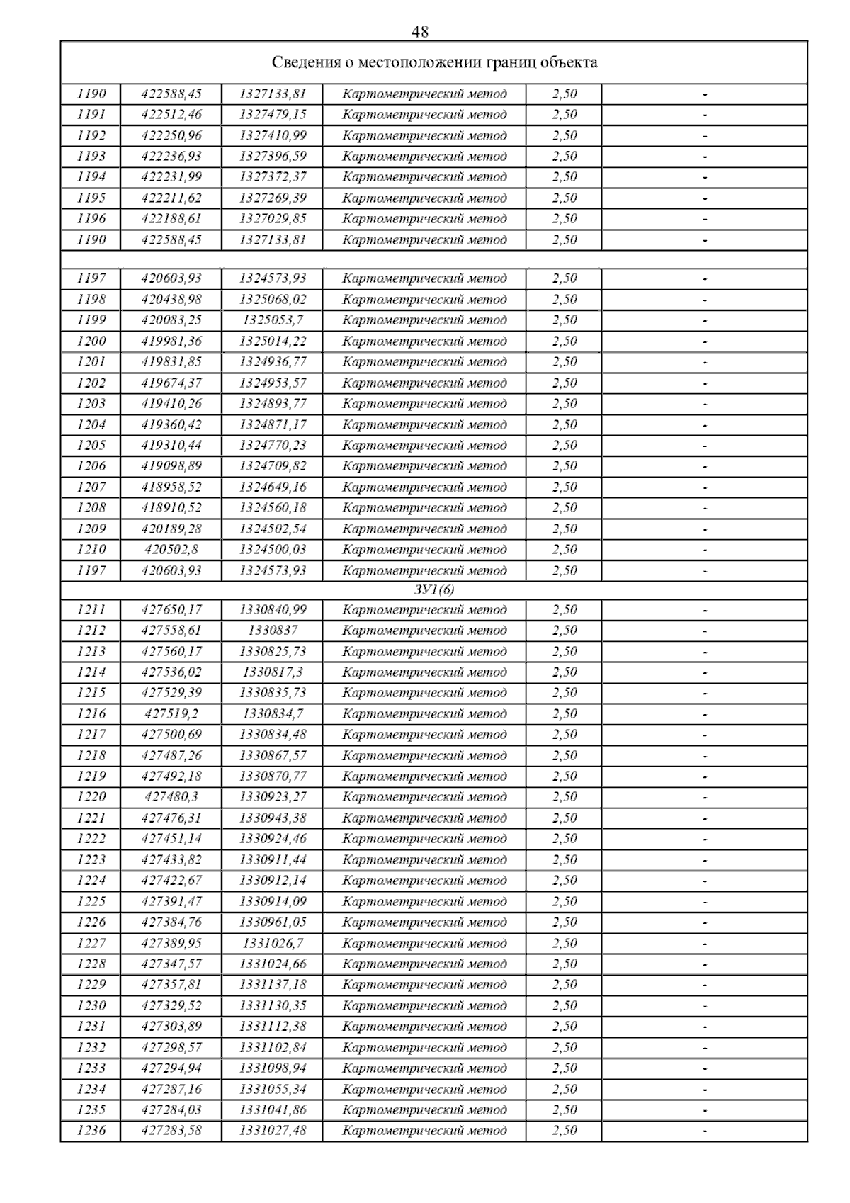
Постановление Главного управления архитектуры и градостроительства Рязанской области от 14.05.2024 № 222-п
"Об утверждении изменений в правила землепользования и застройки муниципального образования – Окское сельское поселение Рязанского муниципального района Рязанской области"
(Зарегистрирован 14.05.2024 № 436)
Номер опубликования: 6201202405170003
Дата опубликования: 17.05.2024
Страница №52 из 218:
Увеличить