Официальное опубликование правовых актов
ОФИЦИАЛЬНОЕ ОПУБЛИКОВАНИЕ
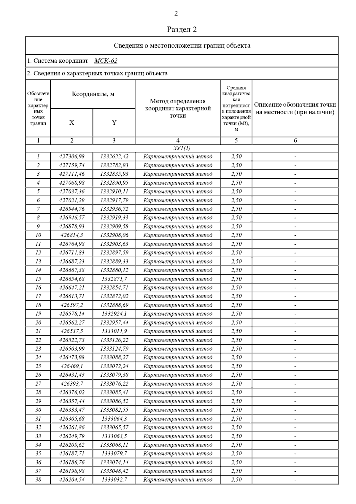
Постановление Главного управления архитектуры и градостроительства Рязанской области от 14.05.2024 № 221-п
"Об утверждении изменений в генеральный план муниципального образования – Окское сельское поселение Рязанского муниципального района Рязанской области"
(Зарегистрирован 14.05.2024 № 435)
Номер опубликования: 6201202405170001
Дата опубликования: 17.05.2024
Страница №7 из 15:
Увеличить