Официальное опубликование правовых актов
ОФИЦИАЛЬНОЕ ОПУБЛИКОВАНИЕ
Постановление Главного управления архитектуры и градостроительства Рязанской области от 13.05.2024 № 217-п
"Об утверждении правил землепользования и застройки муниципального образования – Ермоловское сельское поселение Касимовского муниципального района Рязанской области"
(Зарегистрирован 13.05.2024 № 427)
Номер опубликования: 6201202405160003
Дата опубликования: 16.05.2024
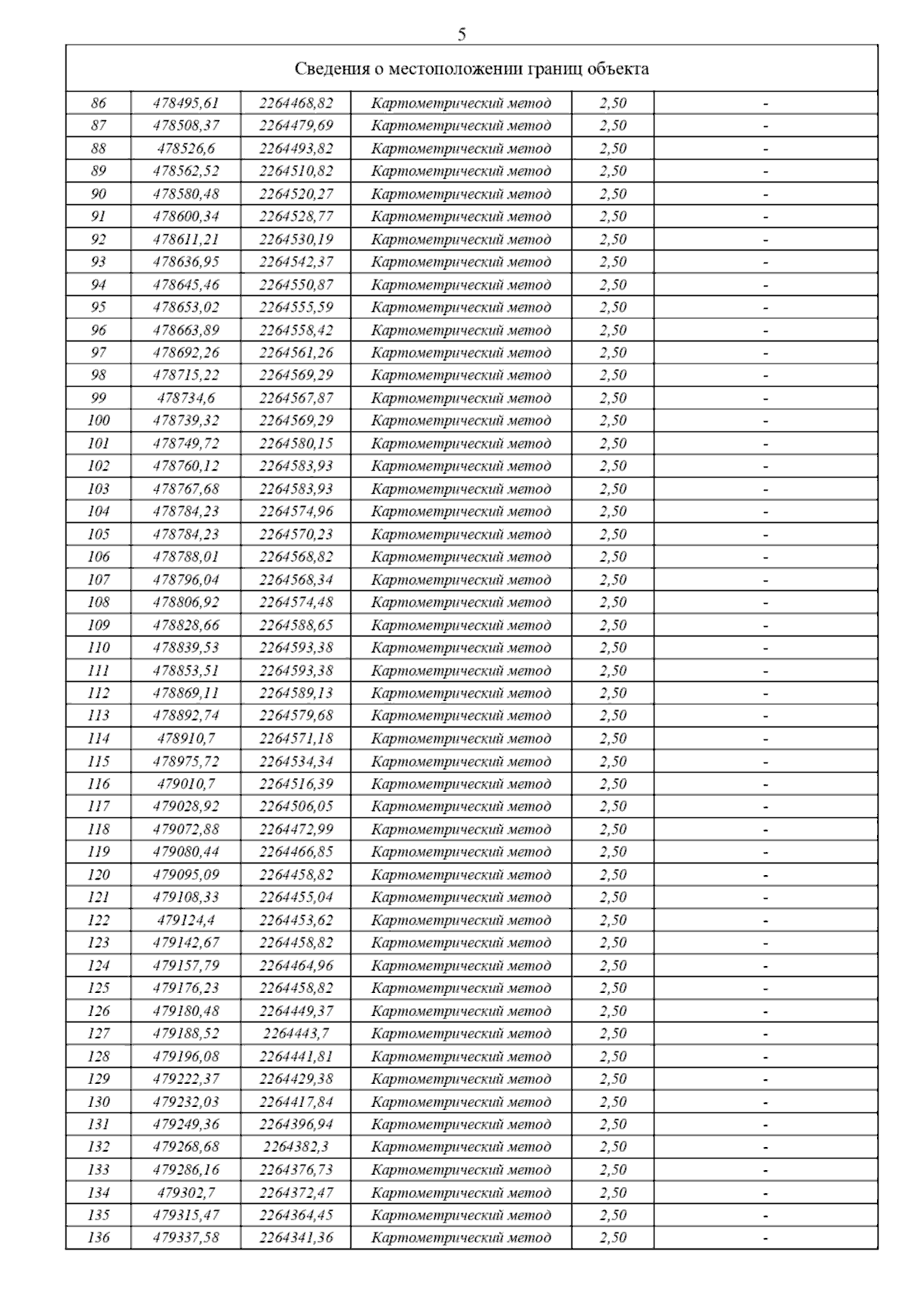
Страница №34 из 103:
Увеличить