Официальное опубликование правовых актов
ОФИЦИАЛЬНОЕ ОПУБЛИКОВАНИЕ
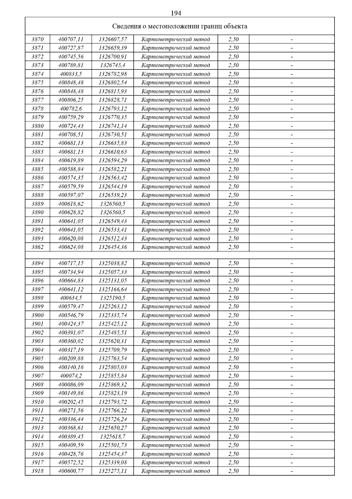
Постановление Главного управления архитектуры и градостроительства Рязанской области от 12.04.2024 № 151-п
"Об утверждении правил землепользования и застройки муниципального образования – Тырновское сельское поселение Пронского муниципального района Рязанской области"
(Зарегистрирован 12.04.2024 № 326)
Номер опубликования: 6201202404180021
Дата опубликования: 18.04.2024
Страница №224 из 276:
Увеличить