Официальное опубликование правовых актов
ОФИЦИАЛЬНОЕ ОПУБЛИКОВАНИЕ
Постановление Главного управления архитектуры и градостроительства Рязанской области от 05.11.2020 № 784-п
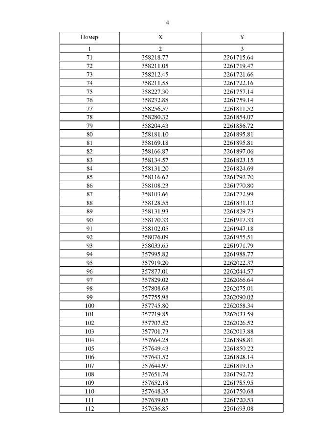
"Об утверждении проекта планировки территории и проекта межевания территории по линейному объекту: "Реконструкция водопроводной сети в п. Лесная Поляна Шацкого муниципального района Рязанской области"
Номер опубликования: 6201202011110007
Дата опубликования: 11.11.2020
Страница №6 из 33:
Увеличить