Официальное опубликование правовых актов
ОФИЦИАЛЬНОЕ ОПУБЛИКОВАНИЕ
Постановление Главного управления архитектуры и градостроительства Рязанской области от 24.07.2020 № 359-п
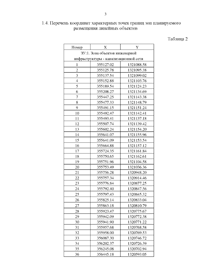
"Об утверждении проекта планировки территории и проекта межевания территории по объекту: "Строительство канализационной сети от фармацевтических предприятий и гостиничного комплекса в с. Успенское Скопинского района Рязанской области"
Номер опубликования: 6201202007290005
Дата опубликования: 29.07.2020
Страница №5 из 50:
Увеличить