Официальное опубликование правовых актов
ОФИЦИАЛЬНОЕ ОПУБЛИКОВАНИЕ
Постановление Главного управления архитектуры и градостроительства Рязанской области от 28.02.2020 № 113-п
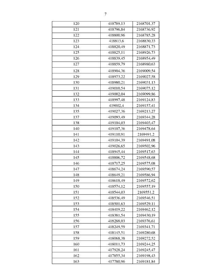
"Об утверждении проекта планировки территории и проекта межевания территории по объекту: "Волоконно-оптическая линия связи в Спасском районе до медицинского учреждения по адресу: Спасский район, с. Троица, ул. Семашко, д.10а"
Номер опубликования: 6201202003060003
Дата опубликования: 06.03.2020
Страница №9 из 82:
Увеличить