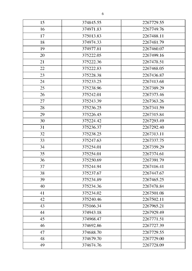
Постановление Главного управления архитектуры и градостроительства Рязанской области от 28.02.2020 № 115-п
"Об утверждении проекта планировки, проекта межевания территории для объекта "Обустройство объектами инженерной инфраструктуры и благоустройство площадки под комплексную жилищную застройку из 60-ти индивидуальных жилых домов в с. Черная Слобода Шацкого района Рязанской области. Наружное электроснабжение. Наружное водоснабжение. Наружное газоснабжение. Уличные автомобильные дороги. Благоустройство территории (озеленение)"
"Об утверждении проекта планировки, проекта межевания территории для объекта "Обустройство объектами инженерной инфраструктуры и благоустройство площадки под комплексную жилищную застройку из 60-ти индивидуальных жилых домов в с. Черная Слобода Шацкого района Рязанской области. Наружное электроснабжение. Наружное водоснабжение. Наружное газоснабжение. Уличные автомобильные дороги. Благоустройство территории (озеленение)"
Номер опубликования: 6201202003060001
Дата опубликования:
06.03.2020
