Официальное опубликование правовых актов
ОФИЦИАЛЬНОЕ ОПУБЛИКОВАНИЕ
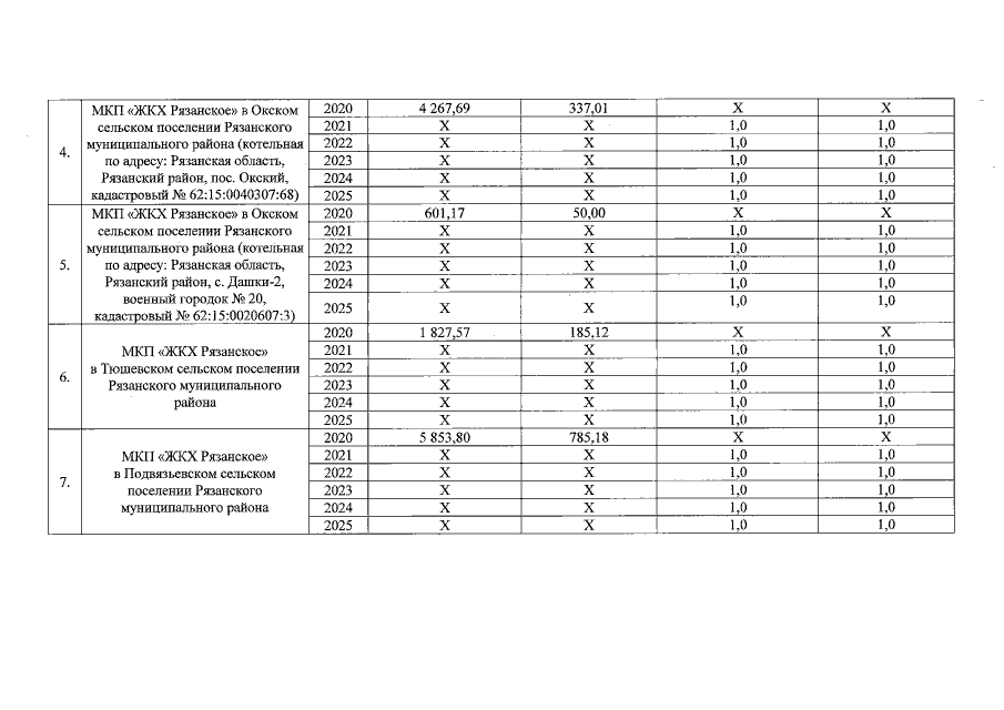
Постановление Главного управления "Региональная энергетическая комиссия" Рязанской области от 17.12.2019 № 377
"О тарифах на тепловую энергию для потребителей МКП "ЖКХ "Рязанское"
Номер опубликования: 6201201912230018
Дата опубликования: 23.12.2019
Страница №9 из 9:
Увеличить